СОРОКИНА Т.П., СОРОКИН Б.П. и др. Физика

электронный учебно-методический комплекс

МОДУЛЬ 1. Основы механики

ТЕМА 1.7. Механические колебания

Колебаниями называются процессы, отличающиеся той или иной степенью повторяемости. В зависимости от физической природы различают колебания: механические, электромагнитные, электромеханические. Различают также свободные и вынужденные колебания, автоколебания и др.

Свободными (собственными) называются такие колебания, которые происходят в системе, предоставленной самой себе после того, как она была выведена из положения равновесия.

Вынужденными называются такие колебания, в процессе которых колебательная система подвергается воздействию внешней периодически изменяющейся силы.



1.7.1. Гармонические колебания пружинного маятника

1.7.2. Математический маятник

1.7.3. Физический маятник

1.7.4. Энергия гармонических колебаний

1.7.5. Затухающие колебания.

1.7.6. Вынужденные колебания. Резонанс.

1.7.7. Автоколебания

1.7.8. Сложение колебаний одного направления

1.7.9. Биения

1.7.10. Сложение взаимно перпендикулярных колебаний (фигуры Лиссажу)

1.7.11. Распространение волн в упругой среде

1.7.12. Уравнение плоской волны

Тест 1.7. (вопр. 1-40)      Тест 1.7 (вопр. 41-72)


1.7.1. Гармонические колебания
пружинного маятника

Простейшими из колебаний являются гармонические. Это колебания, при которых колеблющаяся величина изменяется со временем по закону синуса или косинуса.

Рассмотрим пружинный маятник (Рис. 1.7.1).

Рисунок
Рис. 1.7.1. Пружинный маятник


В состоянии покоя сила тяжести уравновешивается упругой силой:

Формула(1.7.1)

Если сместить шарик от положения равновесия на расстояние х, то удлинение пружины станет равным Δl0 + х. Тогда результирующая сила примет значение:

Формула(1.7.2)

Учитывая условие равновесия (1.7.1), получим:

Формула(1.7.3)

Знак "минус" показывает, что смещение и сила имеют противоположные направления.

Упругая сила f обладает следующими свойствами:

  1. Она пропорциональна смещению шарика из положения равновесия;
  2. Она всегда направлена к положению равновесия.

Для того, чтобы сообщить системе смещение х, нужно совершить против упругой силы работу:

Формула(1.7.4)

Эта работа идет на создание запаса потенциальной энергии системы:

Формула(1.7.5)

Под действием упругой силы шарик будет двигаться к положению равновесия со все возрастающей скоростью . Поэтому потенциальная энергия системы будет убывать, зато возрастает кинетическая энергия (массой пружины пренебрегаем). Придя в положение равновесия, шарик будет продолжать двигаться по инерции. Это - замедленное движение и прекратится тогда, когда кинетическая энергия полностью перейдет в потенциальную. Затем такой же процесс будет протекать при движении шарика в обратном направлении. Если трение в системе отсутствует, шарик будет колебаться неограниченно долго.

Уравнение второго закона Ньютона в этом случае имеет вид:

Формула(1.7.6)

Преобразуем уравнение так:

Формула(1.7.7)

Вводя обозначение , получим линейное однородное дифференциальное уравнение второго порядка:

Формула(1.7.8)

Прямой подстановкой легко убедиться, что общее решение уравнения (1.7.8) имеет вид:

Формула(1.7.9)

где а - амплитуда и φ - начальная фаза колебания - постоянные величины. Следовательно, колебание пружинного маятника является гармоническим (Рис. 1.7.2).

Рисунок
Рис. 1.7.2. Гармоническое колебание


Вследствие периодичности косинуса различные состояния колебательной системы повторяются через определенный промежуток времени (период колебаний) Т, за который фаза колебания получает приращение 2π. Рассчитать период можно с помощью равенства:

Формула(1.7.10)

откуда следует:

Формула(1.7.11)

Число колебаний в единицу времени называется частотой:

Формула(1.7.12)

За единицу частоты принимается частота такого колебания, период которого равен 1 с. Такую единицу называют 1 Гц.

Из (1.7.11) следует, что:

Формула(1.7.13)

Следовательно, ω0 - это число колебаний, совершаемое за 2π секунд. Величину ω0 называют круговой или циклической частотой. Используя (1.7.12) и (1.7.13), запишем:

Формула(1.7.14)

Дифференцируя (1.7.9) по времени, получим выражение для скорости шарика:

Формула(1.7.15)

Из (1.7.15) следует, что скорость также изменяется по гармоническому закону и опережает смещение по фазе на ½π. Дифференцируя (1.7.15), получим ускорение:

Формула(1.7.16)

1.7.2. Математический маятник

Математическим маятником называют идеализированную систему, состоящую из нерастяжимой невесомой нити, на которой подвешено тело, вся масса которого сосредоточена в одной точке.

Отклонение маятника от положения равновесия характеризуют углом φ, образованным нитью с вертикалью (Рис. 1.7.3).

Рисунок
Рис. 1.7.3. Математический маятник


При отклонении маятника от положения равновесия возникает вращательный момент, который стремится вернуть маятник в положение равновесия:

Формула(1.7.17)

Напишем для маятника уравнение динамики вращательного движения, учитывая, что момент его инерции равен ml2:

Формула(1.7.18)

Это уравнение можно привести к виду:

Формула(1.7.19)

Ограничиваясь случаем малых колебаний sinφ ≈ φ и вводя обозначение:

Формула(1.7.20)

уравнение (1.7.19) может быть представлено так:

Формула(1.7.21)

что совпадает по форме с уравнением колебаний пружинного маятника. Следовательно, его решением будет гармоническое колебание:

Формула(1.7.22)

Из (1.7.20) следует, что циклическая частота колебаний математического маятника зависит от его длины и ускорения свободного падения. Используя формулу для периода колебаний (1.7.11) и (1.7.20), получим известное соотношение:

Формула(1.7.23)

1.7.3. Физический маятник

Физическим маятником называется твердое тело, способное совершать колебания вокруг неподвижной точки, не совпадающей с центром инерции. В положении равновесия центр инерции маятника С находится под точкой подвеса О на одной с ней вертикали (Рис. 1.7.4).

Рисунок
Рис. 1.7.4. Физический маятник


При отклонении маятника от положения равновесия на угол φ возникает вращательный момент, который стремится вернуть маятник в положение равновесия:

Формула(1.7.24)

где m - масса маятника, l - расстояние между точкой подвеса и центром инерции маятника.

Напишем для маятника уравнение динамики вращательного движения, учитывая, что момент его инерции равен I:

Формула(1.7.25)

Для малых колебаний sinφ ≈ φ. Тогда, вводя обозначение:

Формула(1.7.26)

получим:

Формула(1.7.27)

что также совпадает по форме с уравнением колебаний пружинного маятника. Из уравнений (1.7.27) и (1.7.26) следует, что при малых отклонениях физического маятника от положения равновесия он совершает гармоническое колебание, частота которого зависит от массы маятника, момента инерции и расстояния между осью вращения и центром инерции. С помощью (1.7.26) можно вычислить период колебаний:

Формула(1.7.28)

Сравнивая формулы (1.7.28) и (1.7.23) получим, что математический маятник с длиной:

Формула(1.7.29)

будет иметь такой же период колебаний, что и рассмотренный физический маятник. Величину (1.7.29) называют приведенной длиной физического маятника. Следовательно, приведенная длина физического маятника - это длина такого математического маятника, период колебаний которого равен периоду колебаний данного физического маятника.

Точка на прямой, соединяющей точку подвеса с центром инерции, лежащая на расстоянии приведенной длины от оси вращения, называется центром качания физического маятника. По теореме Штайнера момент инерции физического маятника равен:

Формула(1.7.30)

где I0 - момент инерции относительно центра инерции. Подставляя (1.7.30) в (1.7.29), получим:

Формула(1.7.31)

Следовательно, приведенная длина всегда больше расстояния между точкой подвеса и центром инерции маятника, так что точка подвеса и центр качания лежат по разные стороны от центра инерции.

1.7.4. Энергия гармонических колебаний

При гармоническом колебании происходит периодическое взаимное превращение кинетической энергии колеблющегося тела Ек и потенциальной энергии Еп, обусловленной действием квазиупругой силы. Из этих энергий слагается полная энергия Е колебательной системы:

Формула(1.7.32)

Распишем последнее выражение

Формула(1.7.33)

Но к = mω2, поэтому получим выражение для полной энергии колеблющегося тела

Формула(1.7.34)

Таким образом полная энергия гармонического колебания постоянна и пропорциональна квадрату амплитуды и квадрату круговой частоты колебания.

1.7.5. Затухающие колебания.

 

При изучении гармонических колебаний не учитывались силы трения и сопротивления, которые существуют в реальных системах. Действие этих сил существенно изменяет характер движения, колебание становится затухающим.

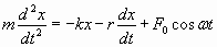
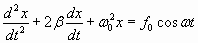
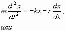
Если в системе кроме квазиупругой силы действуют силы сопротивления среды (силы трения), то второй закон Ньютона можно записать так:

.(1.7.34.а)

Для решения этого дифференциального уравнения необходимо знать, от каких параметров зависит сила трения. Обычно предполагают, что при не очень больших амплитудах и частотах сила трения пропорциональна скорости движения и, естественно, направлена противоположно ей:

,(1.7.34.б)

где r – коэффициент трения, характеризующий свойства среды оказывать сопротивление движению. Подставим (1.7.34б) в (1.7.34а):

,(1.7.34.в)

где β – коэффициент затухания; ω0 – круговая частота собственных колебаний системы.

Решение уравнения(1.7.34.в) существенно зависит от знака разности: , где ω – круговая частота затухающих колебаний. При круговая частота ω является действительной величиной и решение (1.7.34.в) будет следующим:

.(1.7.35)

График этой функции показан на рис.1.7.5 сплошной кривой 1, а штриховой линией 2 изображено изменение амплитуды:

.(1.7.35.а)

Период затухающих колебаний зависит от коэффициента трения и определяется формулой

.(1.7.35.б)

При очень малом трении период затухающего колебания близок к периоду незатухающего свободного колебания (1.7.35.б)

Рис.1.7.5. Затухающее колебаниеРис.1.7.6. Апериодический процесс

 

 

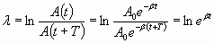
Быстрота убывания амплитуды колебаний определяется коэффициентом затухания: чем больше β, тем сильнее тормозящее действие среды и тем быстрее уменьшается амплитуда. На практике, степень затухания часто характеризуют логарифмическим декрементом затухания, понимая под этим величину, равную натуральному логарифму отношения двух последовательных амплитуд колебаний, разделенных интервалом времени, равным периоду колебаний:

;

Следовательно, коэффициент затухания и логарифмический декремент затухания связаны достаточно простой зависимостью:

λ=βT.(1.7.37)

При сильном затухании из формулы (1.7.37) видно, что период колебания является мнимой величиной. Движение в этом случае уже называется апериодическим. График апериодического движения в виде показан на рис. 1.7.6. Незатухающие и затухающие колебания называют собственными или свободными. Они возникают вследствие начального смещения или начальной скорости и совершаются при отсутствии внешнего воздействия за счет первоначально накопленной энергии.

 

1.7.6. Вынужденные колебания. Резонанс.

Вынужденными колебаниями называются такие, которые возникают в системе при участии внешней силы, изменяющейся по периодическому закону.

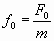
Предположим, что на материальную точку кроме квазиупругой силы и силы трения действует внешняя вынуждающая сила

,

где F0 – амплитуда; ω – круговая частота колебаний вынуждающей силы. Составим дифференциальное уравнение (второй закон Ньютона):

,

или

,(1.7.38)

где .

Решение дифференциального уравнения (3.19) является суммой двух колебаний: затухающих и незатухающих с амплитудой

,(1.7.39)

Амплитуда вынужденного колебания (1.7.39) прямо пропорциональна амплитуде вынуждающей силы и имеет сложную зависимость от коэффициента затухания среды и круговых частот собственного и вынужденного колебания. Если ω0 и β для системы заданы, то амплитуда вынужденных колебаний имеет максимальное значение при некоторой определенной частоте вынуждающей силы, называемой резонансной.

Само явление – достижение максимальной амплитуды для заданных ω0 и β – называют резонансом.

 

Рис. 1.7.7. Резонанс

 

При отсутствии сопротивления амплитуда вынужденных колебаний при резонансе бесконечно большая. При этом из ωрез0, т.е. резонанс в системе без затухания наступает тогда, когда частота вынуждающей силы совпадает с частотой собственных колебаний. Графическая зависимость амплитуды вынужденных колебаний от круговой частоты вынуждающей силы при разных значениях коэффициента затухания показана на рис. 5.

Механический резонанс может быть как полезным, так и вредным явлением. Вредное действие резонанса связано главным образом с разрушением, которое он может вызвать. Так, в технике, учитывая разные вибрации, необходимо предусматривать возможные возникновения резонансных условий, в противном случае могут быть разрушения и катастрофы. Тела обычно имеют несколько собственных частот колебаний и соответственно несколько резонансных частот.

Если коэффициент затухания внутренних органов человека был бы не велик, то резонансные явления, возникшие в этих органах под воздействием внешних вибраций или звуковых волн, могли бы привести к трагическим последствиям: разрыву органов, повреждению связок и т.п. Однако такие явления при умеренных внешних воздействиях практически не наблюдаются, так как коэффициент затухания биологических систем достаточно велик. Тем не менее резонансные явления при действии внешних механических колебаний происходят во внутренних органах. В этом, видимо, одна из причин отрицательного воздействия инфразвуковых колебаний и вибраций на организм человека.

 

1.7.7. Автоколебания

Существуют и такие колебательные системы, которые сами регулируют периодическое восполнение растраченной энергии и поэтому могут колебаться длительное время.

Незатухающие колебания, существующие в какой-либо системе при отсутствии переменного внешнего воздействия, называются автоколебаниями, а сами системы – автоколебательными.

Амплитуда и частота автоколебаний зависят от свойств в самой автоколебательной системе, в отличие от вынужденных колебаний они не определяются внешними воздействиями.

Рис. 1.7.8. Блок-схема автоколебаний

 

 

Во многих случаях автоколебательные системы можно представить тремя основными элементами (рис.1.7.8): 1) собственно колебательная система; 2) источник энергии; 3) регулятор поступления энергии в собственно колебательную систему. Колебательная система каналом обратной связи (рис. 6) воздействует на регулятор, информирую регулятор о состоянии этой системы.

Классическим примером механической автоколебательной системы являются часы, в которых маятник или баланс являются колебательной системой, пружина или поднятая гиря – источником энергии, а анкер – регулятором поступления энергии от источника в колебательную систему.

Многие биологические системы (сердце, легкие и др.) являются автоколебательными. Характерный пример электромагнитной автоколебательной системы – генераторы автоколебательных колебаний.

1.7.8. Сложение колебаний одного направления

Рассмотрим сложение двух гармонических колебаний одинакового направления и одинаковой частоты:

x1=a1cos(ω0t + α1), x2=a2 cos(ω0t + α2).

Гармоническое колебание можно задать с помощью вектора, длина которого равна амплитуде колебаний, а направление образует с некоторой осью угол, равный начальной фазе колебаний. Если этот вектор вращается с угловой скоростью ω0, то его проекция на выбранную ось будет изменяться по гармоническому закону. Исходя из этого, выберем некоторую ось Х и представим колебания с помощью векторов а1 и а2 (рис.1.7.9).

Рис.1.7.9

Вектор а является суммой векторов а1 и а2. Проекция вектора а на ось Х равна сумме проекций векторов а1 и а2:

х=х1 + х2.

Следовательно, вектор а представляет собой результирующее колебание. Этот вектор вращается с той же угловой скоростью, что и векторы а1 и а2. Таким образом, результирующее движение представляет собой гармоническое колебание с частотой ω0, амплитудой а и начальной фазой α. Используя теорему косинусов, находим значение амплитуды результирующего колебания:

(1.7.40)

Из рис.1.7.6 следует, что

.

Схемы, в которых колебания изображаются графически в виде векторов на плоскости, называются векторными диаграммами.

Из формулы 1.7.40 следует. Что если разность фаз обоих колебаний равна нулю, амплитуда результирующего колебания равна сумме амплитуд складываемых колебаний. Если разность фаз складываемых колебаний равна , то амплитуда результирующего колебания равна . Если частоты складываемых колебаний не одинаковы, то векторы, соответствующие этим колебаниям будут вращаться с разной скоростью. В этом случае результирующий вектор пульсирует по величине и вращается с непостоянной скоростью. Следовательно, в результате сложения получается не гармоническое колебание, а сложный колебательный процесс.

1.7.9. Биения

Рассмотрим сложение двух гармонических колебаний одинакового направления мало отличающихся по частоте. Пусть частота одного из них равна ω, а второго ω+∆ω, причем ∆ω<<ω. Положим, что амплитуды складываемых колебаний одинаковы и начальные фазы обоих колебаний равны нулю. Тогда уравнения колебаний запишутся следующим образом:

x1=a cos ωt, x2=a cos(ω+∆ω)t.

Сложив эти выражения и используя формулу для суммы косинусов, получаем:

(1.7.41)

(во втором множителе пренебрегаем членом по сравнению с ω). График функции (1.7.41) изображен на рис. 1.7.10.

Рис.1.7.10

Колебания (1.7.41) можно рассматривать как гармоническое колебание частотой ω, амплитуда которого изменяется по закону . Эта функция является периодической с частотой в два раза превышающей частоту выражения, стоящего под знаком модуля, т.е. с частотой ∆ω. Таким образом, частота пульсаций амплитуды, называемая частотой биений, равна разности частот складываемых колебаний.

 

1.7.10. Сложение взаимно перпендикулярных колебаний (фигуры Лиссажу)

Если материальная точка совершает колебания как вдоль оси х, так и вдоль оси у, то она будет двигаться по некоторой криволинейной траектории. Пусть частота колебаний одинакова и начальная фаза первого колебания равна нулю, тогда уравнения колебаний запишем в виде:

х=а cos ωt, y=b cos(ωt+α), (1.7.42)

где α – разность фаз обоих колебаний.

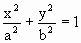
Выражение (1.7.42) представляет заданное в параметрическом виде уравнение траектории, по которой движется точка, участвующая в обоих колебаниях. Если исключить из уравнений (1.7.42) параметр t, то получим уравнение траектории в обычном виде:

(1.7.43)

Уравнение (1.7.43) представляет собой уравнение эллипса, оси которого ориентированы произвольно относительно координатных осей х и у. Ориентация эллипса и величина его полуосей зависят от амплитуд а и b и разности фаз α. Рассмотрим некоторые частные случаи:

  1. α=mπ (m=0, ±1, ±2, …). В этом случае эллипс вырождается в отрезок прямой
  2. ,(1.7.44)

    где знак плюс соответствует нулю и четным значениям m (рис 1.7.8.а), а знак минус – нечетным значениям m (рис.1.7.8.б). Результирующее колебание является гармоническим с частотой ω, амплитудой , совершающимся вдоль прямой (1.7.44), составляющей с осью х угол (рис.1.7.11).

    Рис.1.7.11.а

     

    Рис.1.7.11. б

  3. α=(2m+1)
(m=0, ±1, ±2, …). В этом случае уравнение имеет вид

Это уравнение эллипса, оси которого совпадают с осями координат, а его полуоси равны амплитудам (рис. 1.7.12). Если амплитуды равны, то эллипс становится окружностью.

Рис.1.7.12

 

Если частоты взаимно перпендикулярных колебаний отличаются на малую величину ∆ω, их можно рассматривать как колебания одинаковой частоты, но с медленно изменяющейся разностью фаз. В этом случае уравнения колебаний можно записать

x=a cos ωt, y=b cos[ωt+(∆ωt+α)]

и выражение ∆ωt+α рассматривать как разность фаз, медленно изменяющуюся со временем по линейному закону. Результирующее движение в этом случае происходит по медленно изменяющейся кривой, которая будет последовательно принимать форму, отвечающую всем значениям разности фаз от -π до+π.

Если частоты взаимно перпендикулярных колебаний не одинаковы, то траектория результирующего движения имеет вид довольно сложных кривых, называемых фигурами Лиссажу. Пусть, например, частоты складываемых колебаний относятся как 1:2 и разность фаз π/2. Тогда уравнения колебаний имеют вид

x=a cos ωt, y=b cos[2ωt+π/2].

За то время, пока вдоль оси х точка успевает переместиться из одного крайнего положения в другое, вдоль оси у, выйдя из нулевого положения, она успевает достигнуть одного крайнего положения, затем другого и вернуться. Вид кривой показан на рис. 1.7.13. Кривая при таком же соотношении частот, но разности фаз равной нулю показана на рис.1.7.14. Отношение частот складываемых колебаний обратно отношению числа точек пересечения фигур Лиссажу с прямыми, параллельными осям координат. Следовательно, по виду фигур Лиссажу можно определить соотношение частот складываемых колебаний или неизвестную частоту. Если одна из частот известна.

Рис.1.7.13

 

Рис.1.7.14

 

Чем ближе к единице рациональная дробь, выражающая отношение частот колебаний, тем сложнее получающиеся фигуры Лиссажу.

 

1.7.11. Распространение волн в упругой среде

Если в каком-либо месте упругой (твёрдой жидкой или газообразной) среды возбудить колебания её частиц, то вследствие взаимодействия между частицами это колебание будет распространяться в среде от частицы к частице с некоторой скоростью υ. процесс распространения колебаний в пространстве называется волной.

Частицы среды, в которой распространяется волна, не вовлекаются волной в поступательное движение, они лишь совершают колебания около своих положений равновесия.

В зависимости от направлений колебаний частиц по отношению к направлению, в котором распространяется волна, различают продольные и поперечные волны. В продольной волне частицы среды колеблются вдоль распространения волны. В поперечной волне частицы среды колеблются в направлениях, перпендикулярных к направлению распространения волн. Упругие поперечные волны могут возникнуть лишь в среде, обладающей сопротивлением сдвигу. Поэтому в жидкой и газообразной средах возможно возникновения только продольных волн. В твёрдой среде возможно возникновение как продольных, так и поперечных волн.

На рис. 1.7.12 показано движение частиц при распространении в среде поперечной волны. Номерами 1,2 и т. д. обозначены частицы отстающие друг от друга на расстояние, равное (¼ υT), т.е. на расстояние, проходимое волной за четверть периода колебаний, совершаемых частицами. В момент, времени принятый за нулевой, волна, распространяясь вдоль оси слева направо, достигла частицы 1, вследствие чего частица начала смещаться из положения равновесия вверх, увлекая за собой следующие частицы. Спустя четверть периода частица 1 достигает крайнего верхнего положения равновесия частица 2. По пришествие ещё четверти периода первая часть будет проходить положение равновесия, двигаясь в направлении сверху вниз, вторая частица достигнет крайнего верхнего положения, а третья частица начнёт смещаться вверх из положения равновесия. В момент времени равный T, первая частица закончит полный цикл колебания и будет находиться в таком же состоянии движения, как чальный момент. Волна к моменту времени T, пройдя путь (υT), достигнет частицы 5.

На Рис. 1.7.13 показано движение частиц при распространении в среде продольной волны. Все рассуждения, касающиеся поведения частиц в поперечной волне, могут быть отнесены и к данному случаю с заменой смещений вверх и вниз смещениями вправо и влево.

Из рисунка видно, что при распространении продольной волны в среде создаются чередующиеся сгущения и разряжения частиц (места сгущения обведены на рисунке пунктиром), перемещающиеся в направлении распространения волны со скоростью υ.

 

Рис. 1.7.15

 

Рис. 1.7.16

 

На рис. 1.7.15 и 1.7.16 показаны колебания частиц, положения, равновесия которых лежат на оси x. В действительности колеблются не только частицы, расположенные вдоль оси x, а совокупность частиц, заключённых в некотором объёме. Распространяясь от источников колебаний, волновой процесс охватывает всё новые и новые части пространства, геометрическое место точек, до которых доходят колебания к моменту времени t, называется фронтом волны (или волновым фронтом). Фронт волны представляет собой ту поверхность, которая отделяет часть пространства, уже вовлеченную в волновой процесс, от области, в которой колебания ещё не возникли.

Геометрическое место точек, колеблющихся в одинаковой фазе, называется волновой поверхностью. Волновую поверхность можно провести через любую точку пространства, охваченного волновым процессом. Следовательно, волновых поверхностей существует бесконечное множество, в то время как волновой фронт каждый момент времени только один. Волновые поверхности остаются не подвижными (они проходят через положения равновесия частиц, колеблющихся в одной фазе). Волновой фронт всё время перемещается.

Волновые поверхности могут быть любой формы. В простейших случаях они имеют форму плоскости или сферы. Соответственно волна в этих случаях называется плоской или сферической. В плоской волне волновые поверхности представляют собой множество параллельных друг другу плоскостей, в сферической волне – множество концентрических сфер.

 

Рис. 1.7.17

 

Пусть плоская волна распространяется вдоль оси x. Тогда все точки сферы, положения, равновесия которых имеет одинаковую координату x (но различие значения координат y и z), колеблются в одинаковой фазе.

На Рис. 1.7.17 изображена кривая, которая даёт смещение ξ из положения равновесия точек с различными x в некоторый момент времени. Не следует воспринимать этот рисунок как зримое изображение волны. На рисунке показан график функций ξ (x, t) для некоторого фиксированного момента времени t. Такой график можно строить как для продольной так и для поперечной волны.

Расстояние λ, на короткое распространяется волна за время, равное периоду колебаний частиц среды, называется длиной волны. Очевидно, что

λ=υT(1.7.45)

 

где υ – скорость волны, T – период колебаний. Длину волны можно определить также как расстояние между ближайшими точками среды, колеблющимися с разностью фаз, равной 2π (см. рис. 1.7.14)

Заменив в соотношении(1.7.45) T через 1/ν (ν – частота колебаний), получим

λν=υ. (1.7.46)

К этой формуле можно придти также из следующих соображений. За одну секунду источник волн совершает ν колебаний, порождая в среде при каждом колебании один "гребень" и одну "впадину" волны. К тому моменту, когда источник будет завершать ν - е колебание, первый "гребень" успеет пройти путь υ. Следовательно, ν "гребней" и "впадин" волны должны уложиться в длине υ.

 

1.7.12. Уравнение плоской волны

 

Уравнением волны называется выражение, которое дает смещение колеблющейся частицы как функцию ее координат x, y, z и времени t:

ξ = ξ (x, y, z; t)

(имеются в виду координаты равновесного положения частицы). Эта функция должна быть периодической относительно времени t, и относительно координат x, y, z.. Периодичность по времени вытекает из того, что точки, отстоящие друг от друга на расстоянии λ, колеблются одинаковым образом.

Найдем вид функции ξ в случае плоской волны, предполагая, что колебания носят гармонический характер. Для упрощения направим оси координат так, чтобы ось x совпадала с направлением распространения волны. Тогда волновые поверхности будут перпендикулярными к оси x и, поскольку все точки волновой поверхности колеблются одинаково, смещение ξ будет зависеть только от x и t:

ξ = ξ (x, t).

Рис.1.7.18

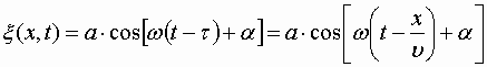
Пусть колебания точек, лежащих в плоскости x = 0 (рис. 1.7.18), имеют вид

Найдем вид колебания точек в плоскости, соответствующей произвольному значению x. Для того, чтобы пройти путь от плоскости x=0 до этой плоскости, волне требуется время (υ – cкорость распространения волны). Следовательно, колебания частиц, лежащих в плоскости x, будут отставать по времени на τ от колебаний частиц в плоскости x = 0, т.е. будут иметь вид

Итак, уравнение плоской волны (продольной, и поперечной), распространяющейся в направлении оси x, выглядит следующим образом:

(1.7.47)

Величина а представляет собой амплитуду волны. Начальная фаза волны α определяется выбором начала отсчета x и t. При рассмотрении одной волны начало отсчета времени и координаты обычно выбирают так, чтобы α была равной нулю. При совместном рассмотрении нескольких волн сделать так, чтобы для всех них начальные фазы равнялись нулю, как правило, не удается.

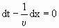
Зафиксируем какое – либо значение фазы, стоящей в уравнении (1.7.47), положив

(1.7.48)

Это выражение определяет связь между временем t и тем местом x, в котором фаза имеет зафиксированное значение. Вытекающее из него значение dx/dt дает скорость, с которой перемещается данное значение фазы. Продифференцировав выражение (1.7.48), получим

откуда

.(1.7.49)

 

Таким образом, скорость распространения волны υ уравнении (1.7.47) есть скорость перемещения фазы, в связи с чем, ее называют фазовой скоростью.

Согласно (1.7.49) dx/dt>0, следовательно, уравнение (1.7.47) описывает волну, распространяющуюся в сторону возрастания x.

Волна, распространяющаяся в противоположном направлении, описывается уравнением

(1.7.50)

Действительно, приравняв константе фазу волны (1.7.50) и продифференцировав получившееся равенство, придем к соотношению

,

из которого следует, что волна (1.7.50) распространяется в сторону убывания x.

Уравнению плоской волны можно придать симметричный относительно x и t вид. Для этого введем величину

,(1.7.51)

которая называется волновым числом. Умножив числитель и знаменатель последнего выражения на частоту ν, и вспомнив, что , можно представить волновое число в виде

. (1.7.52)

Раскрыв в уравнении волны

круглые скобки и используя волновое число, придем к следующему уравнению плоской волны, распространяющейся вдоль оси:

(1.7.53)

Уравнение волны, распространяющейся в сторону убывания x:

При выводе формулы (1.7.53) мы предполагали, что амплитуда колебаний не зависит от x. Для плоской волны это наблюдается в том случае, когда энергия волны не поглощается средой. При распространении в поглощающей энергию среде интенсивность волны с удалением от источника колебаний постепенно уменьшается – наблюдается затухание волны. Опыт показывает, что в однородной среде такое затухание происходит по экспоненциальному закону:

Соответственно уравнение плоской волны, с учетом затухания, имеет следующий вид:

(1.7.54)

(a0 – амплитуда в точках плоскости x = 0).



© ФГОУ ВПО Красноярский государственный аграрный университет, 2013

© Центр дистанционного обучения, 2015