Число нейтронов в ядре равно разности между массовым числом и порядковым номером элемента. Атомы, ядра которых имеют одинаковое число протонов, но различное число нейтронов, называются изотопами. Все изотопы одного химического элемента имеют одинаковое строение электронных оболочек и, следовательно, одинаковые химические свойства. Устойчивость атомных ядер большинства элементов говорит о том, что ядерные силы исключительно велики: они должны превышать значительные силы кулоновского электростатического отталкивания, существующие между протонами в ядре. Ядерные силы проявляются только на очень малых расстояниях 10-13 см. При некотором увеличении расстояния между нуклонами ядерные силы уменьшаются до нуля, и кулоновские силы разрушают ядро. Ядерные силы - это силы особого рода, отличающиеся по своей природе от электрических и гравитационных. Наиболее устойчивы ядра легких элементов, состоящие из приблизительно одинакового числа нейтронов и протонов. У самых тяжелых элементов (расположенных в Периодической системе после висмута), ядра которых состоят из большого числа нуклонов с преобладанием нейтронов, ядерные силы уже не обеспечивают устойчивости ядра. Такие ядра самопроизвольно распадаются, превращаясь в ядра более легких элементов. Это явление называется естественной радиоактивностью. 4.3.2. Естественная радиоактивность.
|
![]() | (4.3.2) |
Например,
![]() | (4.3.3) |
При испускании α-частицы заряд ядра уменьшается на две единицы, а массовое число - на 4 единицы. Следовательно,
При α-распаде элемент смещается в периодической системе на два номера влево с уменьшением массового числа на четыре единицы:
![]() | (4.3.4) |
Например,
![]() | (4.3.5) |
Правила (4.3.2) и (4.3.4) называются законами смещения.
Радиоактивный распад ведет к постепенному уменьшению числа атомов радиоактивного элемента. Он носит случайный характер в том смысле, что нельзя предсказать, какой именно атом и когда распадется. Можно говорить только о вероятности такого распада.
Число атомов, распадающихся за некоторое время, оказалось пропорциональным общему числу атомов и времни:
![]() | (4.3.6) |
где λ - коэффициент пропорциональности, называемый постоянной распада данного элемента. Знак "минус" указывает на уменьшение атомов радиоактивного элемента со временем.
Интегрируя (4.3.6), получим:
![]() | (4.3.7) |
где N0 - число атомов элемента в начальный момент времени.
Соотношение (4.3.7) называется законом радиоактивного распада (Рис. 4.3.2).
Рис. 4.3.2. Кривая радиоактивного распада
Для характеристики быстроты распада вводится понятие периода полураспада Т:
Периодом полураспада называется время, в течение которого количество атомов исходного элемента уменьшается вдвое.
Из (4.3.7) следует, что, если е-λТ = ½, то выполняется:
![]() | (4.3.8) |
Величина, обратная постоянной распада, называется средним временем жизни радиоактивного атома:
![]() | (4.3.9) |
Следовательно, Т = τln2, откуда τ = Т/ ln2 = 1,44T, т.е. среднее время жизни приблизительно в полтора раза больше периода полураспада.
Период полураспада урана
- 4,5·109 лет, полония
- 1,5·10-4 с.
Число атомных распадов, совершающихся в радиоактивном элементе за 1 с, называется активностью этого элемента:
![]() | (4.3.10) |
Можно показать, что выполняется:
![]() | (4.3.11) |
Таким образом, активность элемента пропорциональна его количеству и обратно пропорциональна периоду полураспада. За единицу активности принята активность 1 г радия (1 Кюри):
1 Ku = 3,7·1010 расп/c.
Продукт радиоактивного распада может быть сам радиоактивным. Поэтому процесс радиоактивного распада проходит ряд промежуточных стадий, образуя цепочку радиоактивных элементов, заканчивающуюся стабильным элементом. Такая цепочка элементов называется радиоактивным семейством.
Единицей активности является Беккерель (Бк) это
; 
Наиболее употребительная единица активности Кюри (Ки)
или мКи – милликюри 10-3Ки, мкКи – микро кюри 10-6Ки. Есть ещё внесистемная единица активности Резерфорд (Pд) 1Рд= 106Бк = 106с-1. Для характеристики активности единицы массы радиоактивного источника вводят величину, называемую удельной массовой активностью и равную отношению активности изотопа к его массе. Удельная массовая активность выражается в Беккерелях на килограмм (Бк/кг) или Ки/кг, Ки/г или Ки/л.
, где ν - частица нейтрино, Q - количество теплоты. При этом распаде дочерний элемент смещается влево на одну клетку в таблице Менделеева.
Позитрон – это частица, имеющая заряд как у электрона, но положительный
.
Например, распад изотопа фосфора:

При электронном захвате происходит захват ядром одного из электронов, с внутренней оболочки атома. В результате протон атома превращается в нейтрон.

Дочерний элемент смещается влево в таблице Менделеева
При электронном захвате протон превращается в нейтрон
.
Например:

При распаде могут идти и α и β распады
![]() |
![]() |

Возможны случаи когда, ядро атомов, находясь в возбуждённом состояние, часть своей энергии передает электронам на внутренних слоях (K, L, M). В результате электрон вырывается за пределы атома. Такие электроны называют электронами внутренней конверсии. Следовательно, испускание электронов конверсии обусловлено непосредственным электромагнитным взаимодействием ядра с электронами оболочки. Конверсионные электроны имеют линейчатый спектр энергии в отличие о электронов бета –распада, дающих сплошной спектр. После того как произошла внутренняя конверсия, в электронной оболочке атома появляется "вакантное" место вырванного электрона конверсии. Один из электронов с более отдаленных слоев (с более высоких энергетических уровней) осуществляет квантовый переход на "вакантное" место с испусканием характеристического рентгеновского излучения.
Заряженные частицы и γ - фотоны, распространяясь в веществе, взаимодействуют с электронами и ядрами, в результате изменяется состояние вещества и частиц.
Основным механизмом потерь энергии заряженных частиц (α и β) при прохождении через вещество, является ионизационное торможение. Кинетическая энергия частиц расходуется на возбуждение и ионизацию атомов среды. Это количественно оценивается следующими параметрами: линейной плотностью ионизации i, линейной тормозной способностью вещества S, средним линейным пробегом.
Под линейной плотностью ионизации i понимают отношение числа dn ионов одного знака, образованных заряженной ионизирующей частицей на элементарном пути dl:
. Линейной тормозной способностью вещества S называют отношение энергии dE теряемой заряженной ионизирующей частицей при прохождении элементарного пути dl в веществе к длине этого пути:
. Средним линейным пробегом заряженной ионизирующей частицы R является среднее значение расстояния между началом и концом пробега заряженной частицы в данном веществе.
Для α частиц линейная плотность ионизации в воздухе составляет
, линейная тормозная способность α частиц в воздухе
. Средний линейный пробег для α частиц в воздухе несколько см., а в живом организме (10-100 мкм), её путь прямолинеен и изменяет направление движения только при соударениях с ядрами встречных атомов.
Для β частиц
в воздухе, а линейная тормозная способность β частиц в воздухе
. Для β частиц R средний линейный пробег в воздухе 25 метров, а в живом организме до 1 см.
Кроме ионизации и возбуждения, β частицы вызывают другие процессы:
1. Взаимодействуя с электрическим полем ядра, заряженная частица тормозится и излучает тормозное рентгеновское излучение, спектр, которого показан на рис.4.3.3

2. Если электрон движется в среде со скоростью, превышающей скорость распространения света в этой среде, то возникает характерное Черенковское излучение (излучение Черенкова –Вавилова).

3. При попадании β+ -частицы в вещество с большей вероятностью происходит такое взаимодействие ее с электронами, в результате которого вместо пары электрон –позитрон образуются два гамма фотона. Этот процесс, схема которого показана на рис.4.3.4, называют аннигиляцией. Энергия каждого γ - фотона, возникающая при аннигиляции, должна быть не меньше энергии покоя электрона или позитрона, т.е. не менее 0,51 МэВ.
При радиоактивном распаде, ядра испускают гамма – кванты с энергией в пределах от нескольких кэВ до нескольких МэВ. Гамма – кванты при прохождении через вещество теряют энергию практически за счет трёх эффектов: фотоэлектрического поглощения (фотоэффект), комптоновского рассеивания (комптон- эффект), образования электронно-позитронных пар (образование пар). Величина каждого эффекта зависит от атомного номера поглощающего материала и энергии фотона.

Выполняется при условии: hν³Аи, где Аи- работа ионизации атома (схема фотоэффекта показана на рис.4.3.5). Энергия гамма кванта, рассчитывается по формуле
и не превышает 50 кэВ Гамма – квант, сталкиваясь с электроном чаще К-слоя в атомах облучаемого вещества, полностью передаёт свою энергию, сам исчезает, а электрон приобретает кинетическую энергию, равную энергии гамма кванта минус энергия связи электрона в атоме. На освободившиеся место перескакивает электрон с l – слоя на k – слой электрон m – слоя на l слой и т.д. При переходе происходит испускание квантов света hν, создающих характеристическое рентгеновское излучение. Спектр характеристического рентгеновского излучения показан на рис. 4.3.6.

В воздухе и в биологических тканях фотоэффект составляет 50%, если энергия γ - квантов порядком 60КэВ. При Eγ=120 кэВ он составляет 10%, а начиная с 200 кэВ этот процесс уже не наблюдается. В этом случае гамма – излучение ослабляется за счёт комптоновского рассеивания.

Выполняется при условии hν>>Aи.
γ - кванты сталкиваясь с внешними валентными электронами передают только часть энергии. После соударения с ними γ - кванты изменяют направление движения и рассеиваются. Электроны, отрываясь от ядра, приобретают значительную кинетическую энергию и производят ионизацию вещества (вторичная ионизация). Схема комптоновского эффекта показана на рис.4.3.7.
Из-за комптон эффекта происходит ослабление γ - излучения. Этот эффект значителен в воздухе и в биологическом веществе при 200 КэВ<Eγ<102 МэВ.
Энергетический баланс для комптон эффекта
, где
- кинетическая энергия электрона, hν’ - образовавшийся новый рассеянный γ -гамма квант света. Таким образом, в результате комптон-эффекта, интенсивность гамма- излучения ослабляется за счет того, что гамма- кванты, взаимодействуя с электронами среды, рассеиваются в различных направлениях и уходят за пределы первичного пучка, а также за счет передачи электронам части своей энергии.
Образование пар.
Гамма - кванты с энергией E³1,02 МэВ, проходя через вещество, превращаются под действием сильного электрического поля вблизи ядра атома в пару "электрон-позитрон". В данном случае происходит преобразование одной формы материи – гамма-излучения в другую – в частицы вещества. Образование такой пары частиц возможно только при энергиях γ -квантов, не меньших, чем энергия, эквивалентная массе обеих частиц – электрона и позитрона. Поскольку массы электрона и позитрона одинаковы, то для образования их без сообщения им дополнительной кинетической энергии, энергия γ-кванта должна удовлетворять соотношению взаимосвязи массы и энергии:

Если энергия γ-квантов больше 1,022 МэВ, то избыток её передаётся частицам. Тогда кинетическая энергия образующихся частиц Ek равна разности между энергией фотона Eγ и удвоенной энергией покоя электрона:
.
Образовавшаяся электронно-позитронная пара в дальнейшем исчезает (аннигилирует), превращаясь в два вторичных γ-кванта с энергией, равной энергетическому эквиваленту массы покоя частиц – 0,511 МэВ. Вторичные γ -кванты способны вызвать лишь комптон-эффект и в конечном счете фотоэффект, т.е. теряют энергию только при соударении с электронами. Вероятность процесса образования пар увеличивается с увеличением энергии γ -квантов и плотности поглотителя. Схема образования пар показана на рисунке 4.3.8. Гамма-лучи высоких энергий (более 8 МэВ) могут взаимодействовать с ядрами атомов (ядерный эффект). Вероятность такого эффекта весьма мала, и этот вид взаимодействия практически не ослабляет излучений в веществе.


Пучок гамма лучей поглощается непрерывно с увеличением толщины поглотителя; его интенсивность не обращается в нуль ни при каких толщинах поглотителя. Это значит, что какой бы ни была толщина слоя вещества, нельзя полностью поглотить поток гамма-лучей, а можно только ослабить его интенсивность на любое заданное число раз.

На рис. 4.3.9 показана зависимость ослабления гамма-излучения от толщины поглотителя. Механизм ослабления гамма- излучения показан рис.10. Последовательно проходят три вида рассеяния гамма- кванта атомом вещества. Вначале идет процесс образования пар, затем комптоновское рассеяние и фотоэлектрическое поглощения. При последнем взаимодействии с веществом энергия гамма кванта становится меньше работы ионизации атома и слабый гамма- квант встречаясь с атомом вещества просто рассеивается. Последний процесс называется когерентным рассеянием.
Закон ослабления пучка γ- лучей имеет следующий вид I=Iоe-μd, где I–интенсивность прошедших γ-лучей через вещество, толщиной d; Iо- интенсивность падающего пучка гамма –лучей; μ- линейный коэффициент ослабления.
Линейный коэффициент ослабления является суммарным коэффициентом, который учитывает ослабления пучка гамма- лучей за счет трех первых процессов. Таким образом, μ= μф + μк + μ п. Поскольку величина μ зависит от энергии поступающих гамма- квантов и от материала поглотителя, то ее можно выразить через отношение μ/ρ, где ρ - плотность вещества. В этом случае коэффициент μ будет носить название массового коэффициента ослабления и уже не будет зависеть от плотности материала.
Закон ослабления может быть выражен через слой половинного ослабления (Δ1/2). Толщина поглотителя, после прохождения которого интенсивность излучения ослабляется вдвое, называется слоем половинного ослабления Δ1/2 измеряется в единицах поверхностной плотность (мг/см2) и зависит от энергии излучения и плотности поглотителя. Между линейным коэффициентом ослабления и слоем половинного ослабления существует следующая взаимосвязь: 
.
Зная слой половинного ослабления, можно довольно легко определить, какой нужно взять поглотитель, чтобы ослабить излучение в данное число раз.
Например, один слой Δ1/2 уменьшает интенсивность излучения в 2 раза, два слоя - в 4 раза, три слоя – в 8 раз и т.д., n слоев – в 2n раз. Следовательно, чтобы ослабить излучение, например, в 512 раз, надо взять столько слоев
Δ1/2n, чтобы 2n=512. В нашем случае n=9, т.е. 9 слоев половинного ослабления уменьшают интенсивность излучения в 512 раз.

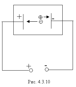
Радиоактивное излучение не воспринимается органами чувств. Эти излучения могут быть обнаружены при помощи специальных приборов. В практике наиболее часто встречаются ионизационные детекторы излучений, которые измеряют непосредственные эффекты взаимодействия излучения с веществом – ионизацию газовой среды (ионизационные камеры, пропорциональные счетчики и счетчики Гейгера –Мюллера, а также коронные и искровые счетчики). Другие методы предусматривают измерение вторичных эффектов, обусловленных ионизацией, -фотографический, люминесцентный, химический, калориметрический и др.
Ионизационные детекторы излучения – камера, заполненная воздухом или газом с электродами для создания электрического поля (рис. 4.3.10). При отсутствии U напряжения между электродами в цепи тока нет, так как газ, это хороший изолятор. При попадание заряженных (α, β) частиц в газ образуются ионные пары, и газ становится проводником электрического поля. В начале, когда U=0 на электродах все ионы, созданные начальной ионизацией, полностью рекомбинируются в нейтральные молекулы. При возрастании напряжения, ионы приобретают направленное действие: положительные собираются на катоде, а отрицательные на аноде. В цепи возникает ионизационный ток, который может быть зарегистрирован прибором.

Величина ионизационного тока служит мерой количества излучения. На рисунке 4.3.11 показана зависимость силы ионизационного тока от напряжения, приложенного к электродам детектора. Такая зависимость называется вольт- амперной характеристикой ионизационного детектора. На участке 1 существует два процесса: образование заряженных частиц- ионов и рекомбинация ионов. С ростом напряжения процесс рекомбинации уменьшается, и все образующиеся ионы достигают электроды – 2 участок.
Величина тока на 2 участке зависит только от ионизационной способности, влетающих заряженных частиц. Так α – частица, образованная большим ионизирующим действием, соответствует верхняя кривая. Область 2 называется областью ионизационной камеры.
На 3 участке, сила ионизационного тока вновь начинает возрастать, т.к. положительные ионы, а особенно отрицательные ионы приобретают значительное ускорение а, следовательно, и энергию, чтобы самим производить ионизацию вследствие соударения с атомами или молекулами газа. Этот процесс называется вторичная ионизация. На участке 3 существует строгая пропорциональность между числом первично образованных ионов и общей суммой ионов, участвующих в создании ионизирующего тока. Эта область называется областью пропорциональности. В этом режиме работают пропорциональные счетчики. Для этого в область вводят коэффициент газового усиления Кгу – отношение общей суммы ионов n участвующих в создании ионизационного тока к числу первично образовавших ионов n0. Кгу=n/ n0. Для участка 3 Кгу достигает 103 – 104.
На участке 4 строгая пропорциональность между числом первично-образованных ионов и силой ионизационного тока нарушается. Поэтому её называют областью ограниченной пропорциональности.
На участке 5 при ещё больших напряжениях, сила нарастающего тока уже не зависит от числа первично образовавших ионов. Коэффициент газового усиления достигает 108 – 1010 и при появлении в камере детектора хотя бы одной ядерной частицы происходит вспышка самостоятельного газового разряда, которая охватывает всю камеру. Этот участок называется областью Гейгера. Счетчики, работающие в этой области, называются счетчиками Гейгера- Мюллера.
В области 6 при большом напряжении в детекторе наблюдается постоянный непрерывный разряд и детектор выходит из строя.

Пропорциональные счетчики работают на участке 3. Наличие пропорциональности усиления в счетчиках, позволяет определить энергию ядерных частиц и изучить их природу. Обычно пропорциональный счетчик делают в виде цилиндра, вдоль оси которого натягивают металлическую нить – анод (рис. 4.3.12). Проводящее покрытие внутренней поверхности цилиндра служит катодом. При таком устройстве все электрическое поле сосредоточено около нити и его максимальное значение оказывается тем выше, чем меньше радиус нити (рис. 4.3.13).

Пропорциональные счетчики изготовляют и торцевого типа (рис.4.3.14). Чтобы обеспечить проникновение в полость счетчика альфа- частиц, входное слюдяное окно делают очень тонким (4-10)мкм. Наполняют счетчик смесью неона с аргоном почто до уровня атмосферного давления. Есть счетчики открытые, рабочая полость которых сообщается с внешним воздухом. Такие счетчики работают при атмосферном давлении, они допускают непрерывное протекание или циркуляцию наполняющего их газа и поэтому их часто используют для регистрации активности газовых проб.

Счетчики Гейгера-Мюллера (Г-М) конструктивно мало чем отличаются от пропорциональных счетчиков цилиндрического и торцевого типа. Основное отличие его состоит в том, что внутренний объем счетчика (Г-М) наполнен инертным газом при пониженном давлении, а работа осуществляется в области Гейгера, т.е. в режиме самостоятельного газового разряда. По принципу работы счетчики (Г-М) делятся на самогасящие и несамогасящие. При попадании ядерной частицы в несамогасящий счетчик происходит первичная ионизация газовой среды. Положительные ионы движутся к катоду, а электроны к аноду. При этом под действием высокого напряжения электроны разгоняются с большим ускорением и производят вторичную ионизацию. Новые образовавшие ионы также приобретают достаточно большую скорость, производят ионизацию и выбивают электроны из катода. Эти электроны еще более увеличивают лавинный эффект. В результате весь счетчик охватывается разрядом. Кгу может достигать 108 – 1010.
Если во время быстро нарастающей вторичной ионизации в несамогасящий счетчик проникает следующая ядерная частица, то она не будет зарегистрирована счетной установкой. Для обнаружения второй ядерной частицы необходимо "погасить" процесс ионизации от первой, что можно достичь либо включением в электрическую цепь высокого сопротивления, либо введением в счетчик органических паров. Такие варианты используют в самогасящих счетчиках. Обычно применяют пары многоатомных спиртов в соотношении 90% аргона и 10% паров спирта. Органическая добавка обеспечивает нейтрализацию положительных ионов аргона путем отдачи слабосвязанных электронов. Следовательно, молекулы многоатомного газа (спирта) приостанавливают вторичную ионизацию, и счетчик становится готовым регистрировать следующую частицу.
Мертвое время- это время в течение которого счетчик не может зарегистрировать попавшую в него частицу (квант). Мертвое время самогасящих счетчиков составляет 10-4 с.
Разрешающая способность счетчика – это максимальное число частиц, которое может зарегистрировать счетчик за одну секунду и рассчитывается как величина обратная мертвому времени. Чем меньше мертвое время, тем больше разрешающая способность счетчика. Несамогасящие счетчики способны раздельно регистрировать не более 102 – 103 имп/с, самогасящие -до 104 имп/с.
Эффективность счетчика - это процентное отношение числа зарегистрированных счетчиком импульсов к общему числу частиц (квантов), попавших за тот же отрезок времени в рабочий объем счетчика. Эффективность определяют путем измерения излучения радиоактивных препаратов с известной активностью (эталона).
Счетная характеристика выражает зависимость скорости счета (числа имп/мин) от напряжения, приложенного к счетчику. Область напряжений, в которой устанавливается постоянство скорости счета в единицу времени называется "плато счетчика". Чем больше протяженность и меньше наклон плато, тем лучше счетчик (рис.4.3.15).

В самогасящих счетчиках протяженность плато 200-300 В, наклон 3-5%.
Сцинтилляционный (люминесцентный) метод регистрации излучений.
При переходе атомов из возбужденного состояния или из ионизированного состояния в основное высвечивается энергия в виде вспышки света (сцинтилляции), которая может быть зарегистрирована, например, преобразуя энергию света в электрический сигнал с помощью фотоэлектрического умножителя (ФЭУ). Схема устройства сцинтилляционного счетчика показана на рисунке 4.3.16.

Под действием светового импульса, возникшего в сцинтилляторе, из фотокатода за счет фотоэффекта выбиваются электроны, которые собираются электрическим полем и направляются на первый динод, ускоряясь до энергии, достаточной для выбивания вторичных электронов из следующего динода и т.д. Таким образом, лавина электронов возрастает от катода к аноду; происходит преобразование очень слабых световых вспышек, возникающих в сцинтилляторе, в регистрируемые электрические импульсы.
Сцинтилляционные счетчики обладают более высокой эффективностью счета (до 100%) и разрешающей способностью 10–5 при регистрации альфа частиц и 10-8 при регистрации бета частиц, по сравнению с газоразрядными счетчиками.
Полупроводниковые детекторы (ППД) ионизирующих излучений представляют собой твердотельную ионизационную камеру, в которой роль носителей электрического заряда выполняют электроны и дырки. Под действием ионизирующего излучения в ППД образуется электрический ток. По величине тока определяют величину ионизирующего излучения.
Фотографический метод основан на определении степени почернения фотоэмульсии под действием ионизирующего излучения. Степень почернения фотоэмульсии фотопластинки пропорциональна дозе излучения. На этом принципе основан дозиметрический фото контроль (ИФК) для лиц, работающих с бета- и гамма- излучением.
Химические методы основаны на регистрации тех или иных изменений, возникающих под влиянием излучений. Например, изменение цвета, выделение газов, осаждение коллоидных растворов и т.д. Степень изменения пропорциональна поглощенной энергии излучения. Широкое распространение получил ферросульфатный и цериевый дозиметры, основанный на окислении под воздействием излучений двухвалентного иона железа в трехвалентный. В цериевом дозиметре определяют концентрацию церия до и после облучения.
Калориметрический метод основан на измерении с помощью специальных калориметров тепловой энергии, выделяющейся при поглощении энергии излучения в веществе.
Приборы для измерения ионизирующего излучения можно условно разделить на три категории: радиометрические (радиометры), дозиметрические (дозиметры), блоки и устройства электронной аппаратуры для ядерно- физических исследований.
Радиометры – это приборы с газоразрядными, сцинтилляционными счетчиками и другими детекторами, предназначенные для измерения активности радиоактивных препаратов и источников излучения, для определения плотности потока или интенсивности ионизирующих частиц и квантов, поверхностной радиоактивности предметов, удельной активности аэрозолей, газов и жидкостей.
Дозиметры (рентгенометры) – приборы, измеряющие экспозиционную и поглощенную дозы излучения или соответствующие мощности доз. Дозиметры состоят из трех основных частей: детектора, радиотехнической схемы, усиливающей ионизационный ток, и регистрируемого (измерительного) устройства.
По принципу действия дозиметры можно разделить на две группы. Первую группы составляют дозиметры, измеряющие мощность дозы в рентгенах в единицу времени, так называемые измерители мощности дозы. Ко второй группе относят интегрирующие дозиметры, измеряющие дозу излучения за какой-либо промежуток времени. Детектором излучения в измерителях мощности дозы могут быть ионизационные камеры, газоразрядный или сцинтилляционный счетчик. В качестве детектора в интегрирующих приборах обычно применяют ионизационные камеры.
|
|