РАЗДЕЛ VIII. ФИЗИКА АТОМОВ. АТОМНОЕ ЯДРО. РАДИОАКТИВНОСТЬ
Основные законы и формулы
Примеры решения задач
Задачи для самостоятельного решения
Качественные задачи
Контрольные вопросы
При решении задач на радиоактивность и строение атома не следует путать понятия "полная энергия" и "энергия связи". Кроме того необходимо видеть взаимозависимость массы и энергии частицы.
Основные законы и формулы
| Коротковолновая граница сплошного рентгеновского спектра |  |
| Формула Мозли |  |
| Закон поглощения излучения веществом (формула Бугера) |  |
| Массовое число ядра (число нуклонов в ядре) | A = Z + N |
| Закон радиоактивного распада |  |
| Число ядер, распавшихся за время t | Nt= N0(1-e-λt) |
| Дефект массы ядра |  |
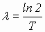
| Зависимость периода полураспада от постоянной радиоактивной распада | T = ln2/λ = 0,693/λ |
| Энергия связи ядра | ;  (где ΔЕсв выражена в МэВ) |
Примеры решения задач
Пример 20. Граничная длинна волны Кα – серии характеристического рентгеновского излучения для некоторого элемента равна 0,0205нм. Определить этот элемент.
Дано: λKα= 0,0205нм =0,205·10-10м ; i = 1; n =2; а = 1
Найти: Z
Решение: Из формулы Мозли ,
где λ – длина волны характеристического излучения, равная (с – скорость света, ν – частота, соответствующая длине волны λ); R – Постоянная Ридберга; Z – порядковый номер элемента, из которого изготовлен электрод; а – постоянная экранирования; i – номер энергетического уровня, на который переходит электрон; n – номер энергетического уровня, с которого переходит электрон (для Кα – серии i = 1, n = 2, a=1), находим Z: 

Порядковый номер 78 имеет платина.
Ответ: Z=78(платина)
Пример 21. На поверхность воды падает узкий монохроматический пучок γ – лучей с длинной волны 0,775пм. На какой глубине интенсивность γ – лучей уменьшится в 100 раз?
Дано: λ = 0,775пм = 7,75·10-13м; k = 100
Найти: х
Решение: Ослабление интенсивности γ – лучей определяется из формулы
откуда , где J0 – интенсивность падающего пучка γ – лучей; J – их интенсивность на глубине х; μ – коэффициент линейного ослабления. Решая уравнение (1) относительно х, находим
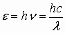
Для определения μ вычислим энергию γ – квантов: , где h – постоянная Планка; с – скорость света в вакууме. Подставляя числовые значения, получим: 
По графику (смотри приложение) зависимости линейного коэффициента ослабления γ – лучей от их энергии находим μ = 0,06см-1. Подставляя это значение μ в формулу (2), находим 
Ответ: х=76,75см.
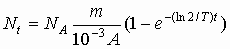
Пример 22. Определить, сколько ядер в 1г радиоактивного распадается в течении одного года.
Дано: m = 10-3кг; Т = 27лет; t = 1год
Найти: Nt
Решение: Для определения числа атомов, содержащихся в 1 г , используем соотношение
где NA – постоянная Авогадро; ν – число молей, содержащихся в массе данного элемента; М – молярная масса изотопа. Между молярной массой изотопа и его относительной атомной массой существует соотношение:
Для всякого изотопа относительная атомная масса весьма близка к его массовому числу А, т.е. для данного случая М = 10-3·90 кг/моль = 9·10-2кг/моль.
Используя закон радиоактивного распада
где N0 – начальное число не распавшихся ядер в момент t = 0; N – число не распавшихся ядер в момент t; λ – постоянная радиоактивного распада.
Определим количество распавшихся ядер в течение 1 года:
Учитывая, что постоянная радиоактивного распада связана с периодом полураспада соотношением , получим
Подставляя (1) с учетом (2) в выражение (5), имеем
Произведя вычисления по формуле (6), найдем

Ответ: Nt = 6,4·1021
Пример 23. Вычислить в мегаэлектронвольтах энергию ядерной реакции: 
Выделяется или поглощается энергия при этой реакции?
Решение: Энергию ядерной реакции
где Δ
m - дефект масс реакции; с - скорость света в вакууме. Если Δ
m выражается в а.е.м., то формула (1) примет вид Δ
E=931Δ
m. Дефект массы равен 
Так как число электронов до и после реакции сохраняется, то вместо значений масс ядер воспользуемся значениями масс нейтральных атомов, которые приводятся в справочных таблицах:
; ; ;

Реакция идет с выделением энергии, так как Δm > 0

Ответ: ΔE=7,66МэВ.
Задачи для самостоятельного решения
351. Вычислить толщину слоя половинного ослабления при условии, что узкий пучок γ-излучения с энергией 1,25МэВ проходит через свинцовый экран.
352. Определить, как изменится интенсивность узкого пучка γ-лучей при прохождении через экран, состоящий из двух плит: алюминиевой – толщиной 10см и железной – толщиной 5см. Коэффициент линейного ослабления для Al μ = 0,1см-1, а для Fe μ = 0,3см-1.
353. Как изменится степень ослабления γ-лучей при прохождении через свинцовый экран, если длина волны этих лучей 0,0041·10-10м и 0,0082·10-10м, толщина экрана 1см?
354. Вычислить толщину слоя половинного ослабления для свинцового экрана, через который проходит монохроматический узкий пучок γ-лучей с длиной волны 0,006·10-10м.
355. Какова энергия γ-лучей, если при прохождении через слой железа толщиной в 3,15см интенсивность излучения ослабевает в 4 раза?
356. Найти граничную длину волны К-серии рентгеновского излучения от платинового антикатода.
357. При каком наименьшем напряжении на рентгеновской трубке с железным антикатодом появляются линии К-серии?
358. Какую наименьшую разность потенциалов нужно приложить к рентгеновской трубке с вольфрамовым антикатодом, чтобы в спектре излучения вольфрама были все линии К-серии?
359. Граничная длина волны К-серии характеристического рентгеновского излучения некоторого элемента равна 0,1284нм. Определить этот элемент.
360. Определить минимальную длину волн тормозного рентгеновского излучения, если к рентгеновской трубке приложены напряжения 30кВ; 75кВ.
361. Период полураспада радиоактивного аргона равен 110мин. Определить время, в течение которого распадается 25% начального количества атомов.
362. Вычислить толщину слоя половинного поглощения свинца, через который проходит узкий монохроматический пучок γ-лучей с энергией 1,2МэВ.
363. Период полураспада изотопа равен примерно 5,3года. Определить постоянную распада и среднюю продолжительность жизни атомов этого изотопа.
364. На железный экран падает узкий монохроматический пучок γ-лучей, длина волны которых 0,124·10-2нм. Найти толщину слоя половинного поглощения железа.
365. Какова энергия γ-лучей, если при прохождении через слой алюминия толщиной 5см интенсивность излучения ослабевает в 3 раза?
366. Период полураспада равен 5,3года. Определить, какая доля первоначального количества ядер этого изотопа распадется через 5 лет.
367. Рассчитать толщину защитного водяного слоя, который ослабляет интенсивность γ-излучения с энергией 1,6МэВ в 5 раз.
368. За год распалось 60% некоторого исходного радиоактивного элемента. Определить период полураспада этого элемента.
369. Через экран, состоящий из двух плит: свинцовой – толщиной 2см и железной – толщиной 5см, - проходит узкий пучок γ-лучей с энергией 3МэВ. Определить, во сколько раз изменится интенсивность γ-лучей при прохождении этого экрана.
370. Определить постоянную распада и число атомов радона, распавшихся в течение суток, если первоначальная масса радона 10г.
371. Вычислить энергию ядерной реакции .
372. Какое количество энергии освобождается при соединении одного протона и двух нейтронов в атомное ядро?
373. При термоядерном взаимодействии двух дейтронов возможны образование двух типов: 1) и 2) . Определить тепловые эффекты этих реакций.
374. Ядро, состоящее из 92 протонов и 143 нейтронов, выбросило α-частицу. Какое ядро образовалось в результате α-распада? Определить дефект массы и энергию связи образовавшегося ядра.
375. Вычислить дефект массы, энергию связи и удельную энергию связи для элемента .
376. Определить максимальную кинетическую энергию электрона, вылетающего при β-распаде нейтрона. Написать уравнение распада.
377. Определить максимальную энергию β-частиц при β-распаде трития. Написать уравнение распада.
378. В какой элемент превращается после трех α-распадов и двух β-превращений?
379. Вычислить энергию термоядерной реакции .
380. Вычислить дефект массы, энергию связи ядра и удельную энергию связи для элемента .
Качественные задачи
381. Для ионизации атома водорода требуется энергия 13,6 эВ. Одинаковой ли начальной кинетической энергией должны обладать электрон, ион водорода и ион гелия, чтобы ионизировать атом водорода?
382. Как изменяется энергия электрона в атоме водорода при увеличении главного квантового числа n?
383. Электрон, двигаясь в атоме, испытывает со стороны ядра кулоновскую силу притяжения. Можно ли создать внешнее электрическое поле, способное преодолеть эту силу и ионизировать атом водорода?
384. Какие частицы образуют ядро атома цинка? Сколько их?
385. Почему прочность ядер уменьшается при переходе к тяжелым элементам?
386. Как и во сколько раз изменится число ядер радиоактивного вещества за время, равное трем периодам полураспада?
387. Как изменится положение химического элемента в таблице Менделеева после двух α-распадов ядер его атомов?
388. Как изменится положение химического элемента в таблице Менделеева после последовательных одного α-распада и двух β--распадов ядер его атомов?
389. Объясните непрерывность энергетического спектра β-частиц.
390.Изменится ли химическая природа элемента при испускании его ядром γ-кванта?
391. При радиоактивном распаде излучаются α
-частицы, электроны и фотоны. Всегда ли естественный радиоактивный распад ядер сопровождается излучением такого состава?
392. Под действием каких частиц (α
-частиц, нейтронов) ядерные реакции более эффективны?
393. В результате какой реакции происходит превращение ядер в ядра .
394. Почему деление тяжелых ядер и синтез атомных ядер сопровождается выделением большого количества энергии?
395. Приведите аргументы, показывающие, что в составе ядра не может быть электронов.
396. Как доказать зарядовую независимость ядерных сил?
397. Почему γ-излучение не следует считать типом радиоактивности?
398. Какие физические процессы используются для регистрации элементарных частиц?
399. Чем обусловлена потеря энергии α
-частицами при их движении в воздухе?
400. При изучении излучения радиоактивного препарата были обнаружены α - частицы с двумя различными длинами пробега. Какое заключение можно сделать из этого факта?
Контрольные вопросы
- Какие частицы входят в состав ядра атома?
- Какие размеры имеет ядро?
- Что такое дефект масс?
- Что называют энергией связи ядра атома?
- Что такое удельная энергия связи ядра?
- Какие силы действуют между нуклонами в ядре?
- Опишите основные модели ядра.
- В чем заключается явление радиоактивности?
- Приведите и объясните формулу радиоактивного распада.
- Какие существуют радиоактивные семейства?
- Опишите процессы α-, β-, γ-распадов?
- Какие явления сопровождают прохождения γ-излучения через вещество и в чем их суть?
- Сформулируйте закон радиоактивного распада.
- Физический смысл активности радиоактивного препарата.
- Какие ядра наиболее стабильны?
- Опишите реакцию деления тяжелых ядер.
- По каким признакам можно классифицировать ядерные реакции?
- В чем заключается термоядерный синтез?
- Какие ускорители частиц существуют?
- Какие методы используют для регистрации частиц?
|