КОНТРОЛЬНАЯ РАБОТА ЗАОЧНОГО ОБУЧЕНИЯ

3.Электромагнитные явления (электростатика, постоянный ток)

Основные законы и формулы, примеры решения задач

Наименование величины
или физический закон
Формула
Закон Кулона (где k=9·109H·м2/Кл2 - электрическая постоянная; ε - диэлектрическая проницаемость среды; e=1,60·10-19Кл - заряд электрона, протона; me=9,11·10-31кг - масса электрона; mр=1,67·10-27кг - масса протона)Формула
Напряженность электрического поляФормула
Теорема Остроградского-Гаусса (ε0=8,85·10-12Ф/м)Формула
Напряженность поля точечного зарядаФормула
Напряженность поля, созданного двумя и более точечными зарядамиФормула
Напряженность поля, создаваемого бесконечной равномерно заряженной плоскостьюФормула
Напряженность поля, создаваемого бесконечной равномерно заряженной нитьюФормула
Потенциал поляФормула
Потенциал поля точечного зарядаФормула
Связь между напряженностью и потенциалом неоднородного и однородного поляФормула
Электроемкость уединенного проводникаФормула
Электроемкость сферыФормула
Электроемкость плоского конденсатораФормула
Электроемкость последовательного соединения конденсаторовФормула
Электроемкость параллельного соединения конденсаторовФормула
Энергия конденсатораФормула
Объемная плотность энергии электрического поляФормула
Сила постоянного токаФормула
Плотность токаФормула
Закон Ома для однородного участка цепиФормула
Закон Ома для неоднородной цепиФормула
Закон Ома для замкнутой цепиФормула
Законы Кирхгофа:
  1. в узле разветвленной цепи сумма токов равна нулю;
  2. в замкнутом контуре разветвленной цепи сумма падений напряжения на отдельных участках равна сумме ЭДС источников тока, включенных в контур
Формула
Мощность токаФормула
Закон Джоуля-ЛенцаФормула

 

 

 

 

Примеры решения задач

Пример 18.

 

На шёлковой нити в воздухе подвешен маленький положительно заряженный шарик массой m = 90 мг. Если ниже шарика на расстоянии r = 1 см от него поместить равный, но отрицательный заряд, то сила натяжения нити увеличится в три раза. Определить заряд шарика.

 

Решение. На подвешенный шарик первоначально действуют две силы: сила тяжести Р, направленная вертикально вниз, и сила натяжения нити Т1 направленная вдоль нити вверх. Шарик при этом находится в равновесии и, следовательно,

ФормулаРисунок 4
Формула(1)

После того как к шарику был поднесен снизу отрицательный заряд, на него кроме силы тяжести Р действует сила Fк, направленная вниз и определяемая по закону Кулона (рис. 4). В этом случае сила натяжения Формула Учитывая равенство (1), запишем

Формула(2)

Выразив в (2) Fк по закону Кулона к силу тяжести P через массу тела m и ускорение свободного падения g получим

Формула

откуда

Формула(3)

Проверим единицы правой и левой частей расчетной формулы (3):

Формула

Выпишем числовые значения в СИ: m = 9·10 -5 кг; r = 10-2 м; еε = 1; g = 9,81 м/с2; ε0 = 8,85·10-12 Ф/м. Вычислим искомый заряд:

Формула

Пример 19.

 

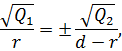
Два положительных заряда Q=5 нКл и Q2 = 3 нКл находятся на расстоянии d=20 см друг от друга. Где надо поместить третий отрицательный заряд Q, чтобы он оказался в равновесии ?

 

Решение.

На заряд Q3 действуют две силы: F1, направленная к заряду Q1 и F2, направленная к заряду Q2. Заряд Q3 будет находиться в равновесии, если равнодействующая этих сил равна нулю:

Формула  или  Формула(1)
ФормулаРисунок 5

т. е, силы F1 и F2 должны быть равны по модулю в направлены в противоположные стороны. Силы будут противоположны по направлению только в том случае, если заряд Q3 находится в точке на отрезке прямой, соединяющем заряды Q1, и Q2 (рис. 5). Для равенства сил необходимо, чтобы заряд Q3 находился ближе к меньшему заряду Q2. Так как векторы сил F1, и F2 направлены по одной прямой, то векторное равенство (1) можно, опуская знак «минус», заменить скалярным:

Формула(2)

Выразив силы F1, и F2 по закону Кулона, (2) запишем в виде

Формула

или

Формула

Извлекая из обеих частей равенства квадратный корень, находим

Формула откуда
Формула(3)

Выпишем числовые значения величии, входящих в (3) в СИ: Q1  = 5·10 -9 Кл; Q2  = 3·10 -9 Кл; d = 0,2 м. Вычисления:

Формула

Из двух значений корня r1 = 11,3 см. и r2 = -11,3 см берем первый, так как второй не удовлетворяет условию задачи, Итак, для того чтобы заряд Q3 находился в равновесии, его надо поместить на прямой, соединяющей заряды Q1 и Q2 на расстоянии r = 11,3 см. от заряда Q1 (рис. 5).

Пример 20.

 

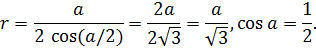
В вершинах равностороннего треугольника со стороной а = 20 см находятся заряды Q1  =  Q2 =  -10 нКл и Q3 =  20 нКл. Определить силу, действующую на заряд Q = 1 нКл, расположенный в центре треугольника.

 

ФормулаРисунок 6
Решение.

На заряд Q, расположенный в центре треугольника, действуют три силы:   Формула   (рис. 6). Так как заряды Q1 и Q2 равны и находятся на одинаковых расстояниях от заряда Q, то

Формула(1)

где F1 — сила, действующая на заряд Q со стороны заряда Q1; F2 — сила, действующая на заряд Q со стороны заряда Q2 . Результирующая этих сил

Формула и ее значение
Формула или, учитывая (1)
Формула(2)

Кроме этой силы заряд Q испытывает действие силы F3, со стороны заряда Q3. Искомую силу F, действующую на заряд Q, найдем как результирующую сил F´ и F3:

Формула

Так как F´ и F3 направлены по одной прямой и в одну сторону, то это векторное равенство можно заменить скалярным: Формула или, учитывая (2),

Формула

Выразив здесь F1 и F2 по закону Кулона, получим

Формула(3)

Из рис. 6 следует, что

Формула

С учетом этого формула (3) примет вид :

Формула(4)

Проверим расчётную формулу (4):

Формула

Выпишем числовые значения величии в СИ: Q1  = Q2  = -1·10 -8 Кл; Q3  = 2·10 -8 Кл; ε = 1; ε0 = 8,85·10 -12Ф/м; a = 0,2 м. Вычислим искомую силу:

Формула

Примечание. В формулу (4), подставлены модули зарядов, поскольку их знаки учтены при выводе этой формулы.

Пример 21.

 

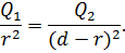
Электрическое поле создано в вакууме двумя точечными зарядами Q1 = 2 нКл Q2 = -3 нКл. Расстояние между зарядами d = 20 см. Определить: 1) напряженность и 2) потенциал электрического поля в точке, находящейся на расстоянии r1  = 15 см от первого и r2  = 10 см. от второго заряда (рис. 7).

 

ФормулаРисунок 7
Решение.

Согласно принципу суперпозиции электрических полей каждый заряд создает поле независимо от присутствия в пространстве других зарядов. Поэтому напряженность Е результирующего электрического поля в искомой точке может быть найдена как геометрическая сумма напряженностей Е1 и Е2 полей, создаваемых каждым зарядом в отдельности: Формула. Напряженности электрических полей, создаваемых в вакууме первым и вторым зарядами, равны соответственно:

Формула(1)
Формула(2)

Вектор Е направлен по прямой, соединяющей заряд Q1 и точку А, от заряда Q1, так как он положителен; вектор Е2 направлен по прямой, соединяющей заряд Q2 и точку А, к заряду Q2 так как заряд отрицателен. Модуль вектора Е найден по теореме косинусов:

Формула(3)

где α — угол между векторами Е1 и Е2. Из треугольника со сторонами d, r1 и r2 найдем

Формула(4)

Подставляя выражение Е1, из (1), Е2 из (2) в (3), получаем

Формула(5)

Выпишем числовые значения величии в СИ: Q1  = 2·10 -9 Кл; Q2  = -3·10 -9 Кл; d = 0,2 м; r1  = 0,15 м; r2  = 0,1 м; ε = 1; ε0 = 8,85·10 -12Ф/м; Вычислим значение cosα по (4):

Формула

Вычислим искомую напряженность:

Формула

Примечание. В формулу (5) подставлены модули зарядов, так как их знаки учтены при выводе этой формулы.

2. Потенциал в точке А поля равен алгебраической сумме потенциалов, созданных в этой точке зарядами Q1 и Q2:

Формула(6)

Вычислим искомый потенциал:

Формула

Пример 22.

 

Какова скорость обращения электрона вокруг протона в атоме водорода, если орбиту электрода считать круговой с радиусом r = 0,53· 10-8 см

 

Решение.

При обращении электрона по круговой орбите центростремительной силой является сила электрического притяжения электрона и протона, т. е. справедливо равенство

Формула(1)

Центростремительная сила определяется по формуле

Формула(2)

где m — масса электрона, движущегося по окружности; u — скорость обращения электрона; r — радиус орбиты. Сила Fк взаимодействия зарядов согласно закону Кулона выразится формулой

Формула(3)

где Q1 и Q1— абсолютные значения зарядов; ε — относительная диэлектрическая проницаемость;ε0 — электрическая постоянная. Подставляя в (l) выражения Fцс из (2) и Fк из (3), а также учитывая, что заряд протона и электрона, обозначаемый буквой е, одинаков, получаем

Формулаоткуда
Формула(4)

Выпишем числовые значения величии в СИ:

e  = 1,6·10 -19 Кл;

ε = 1;

ε0 = 8,85·10 -12Ф/м;

r  = 0,53·10 -10 м;

m = 9,1·10 -31 кг.

Вычислим искомую скорость:

Формула

Пример 23.

 

Потенциал φ в точке поля, расположенной на расстоянии r = 10 см от некоторого заряда Q, равен 300 В. Определить заряд и напряжённость поля в этой точке.

 

Решение.

Потенциал точки поля, созданного точечным зарядом, определяется по формуле

Формула(1)

где ε0 — электрическая постоянная; ε — диэлектрическая проницаемость. Из формулы (1) выразим Q:

Формула(2)

Для любой точки поля точечного заряда справедливо равенство

Формула(3)

Из этого равенства можно найти напряженность поля. Выпишем числовые значения величии, выразив их в СИ:

r = 0,1 м;

φ1 = 300 В;

ε = 1;

ε0  =  8,85·10 -12Ф/м.

Подставим числовые значения в (2) и (3):

Формула
Формула

Пример 24.

 

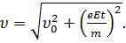
Электрон, начальная скорость которого u0 = 2 Мм/с, влетел в однородное электрическое поле с напряженностью E = 10 кВ/м так, что вектор начальной скорости перпендикулярен линиям напряженности. Определить скорость электрона по истечении времени t = 1 нс.

 

Решение.

На электрон, находящийся в электрическом поле, действует сила

Формула(1)

где е — заряд электрона. Направление этой силы противоположно направлению силовых линий поля. В данном случае сила направлена перпендикулярно скорости u0. Она сообщает электрону ускорение

Формула(2)

где m - масса электрона.

Формула

где u1 — скорость, которую получает электрон под действием сил поля. Скорость u1 найдем по формуле

Формула(3)

Так как скорости u0 и u1 взаимно перпендикулярны, то результирующая скорость

Формула(4)

Подставляя в (4) выражение скорости по (3) и учитывая (1) и (2) получаем:

Формула(5)

Выпишем числовые значения величин, входящих в (5) в СИ:

е =  1,6·10 -19 Кл;

m =  9,11·10 -31 кг ;

t =  105·10 -9 с;

u0  =  2·10 6 м/с;

Е =  10·10 4 В/м.

Вычислим искомую скорость:

Формула

Пример 25.

 

В точке М поля точечного заряда Q = 40 нКл находится заряд Q1 = 1 нКл. Под действием сил поля заряд перемешается в точку N, расположенную вдвое дальше от заряда Q, чем NM. При этом совершается работа А = 0,1 мкДж. На какое расстояние переместится заряд Q1?

 

Решение.

Работа сил поля по перемещению заряда выражается формулой
Формула(1)

где Q1 – перемещающийся заряд; ΦM – потенциал точки М поля; ΦN – потенциал точки N поля. Так как поле создано точечным зарядом Q, то потенциалы точек начала и конца пути выразятся формулами:

Формула(2)
Формула(3)

где rM и rN – расстояние от заряда Q до точек M и N. Подставляя выражения для φM и φN из (2) и (3) в (1), получаем

Формула(4)

По условию задачи rN  =  2rM.Учитывая это, получаем rN  -  rM =  rM. Тогда

Формула откуда  Формула(4)

Выпишем числовые значения величин в СИ:

Q1  =  1·10 -9 Кл;

Q  =  4·10 -8 Кл;

А  =  1·10 -7 Дж;

ε0  =  8,85·10 -12Ф/м .

Вычислим искомое расстояние:

Формула

Пример 26.

 

Электрон прошел ускоряющую разность потенциалов U = 800 B. Определить скорость, приобретенную электроном.

 

Решение.

По закону сохранения энергии кинетическая энергия Т, приобретенная зарядом (электроном), равна работе А, совершаемой электрическим полем при перемещении электрона:

Формула(1)

Работа сил электрического поля при перемещении электрона

Формула(2)

где e — заряд электрона. Кинетическая энергия электрона

Формула(3)

где m- масса электрона;u- его скорость. Подставив в (1) выражения Т и А из (2) и (3), получим Формула, откуда

Формула(4)

Выпишем числовые значения величин входящих в (4), в СИ: U=800 В; e  =  1,6·10 -19 Кл; m  =  9,11·10 -31 кг. Вычислим искомую скорость:

Формула

Пример 27.

 

Плоский конденсатор, расстояние между пластинами которого d1 = 3 см, заряжен до разности потенциалов U1 = 300 B и отключен от источника. Каким будет напряжение на пластинах конденсатора, если его пластины раздвинуть до расстояния d2 = 6 см?

 

Решение.

До раздвижения пластин емкость плоского конденсатора

Формула(1)

где ε— диэлектрическая проницаемость вещества, заполняющего пространство между пластинами конденсатора; ε0 — электрическая постоянная; S — площадь пластин конденсатора. Напряжение на пластинах конденсатора

Формула(2)

где Q — заряд конденсатора. Подставляя в (2) выражение емкости конденсатора из (1),находим

Формула(3)

Аналогично получим напряжение между пластинами после их раздвижения:

Формула(4)

В выражениях (3) и (4) заряд Q одинаков, так как конденсатор отключен от источника напряжения и никаких потерь заряда не происходит. Разделив почленно (3) на (4) и произведя сокращения, получим Формула откуда

Формула(5)

Выпишем числовые значения в СИ: U1 = 300 В; d1 = 0,03 м; d2 = 0,06 м. Вычислим

Формула

Пример 28.

 

Плоский конденсатор с площадью пластин S = 50 см2 и расстоянием между ними d = 2 мм заряжен до разности потенциалов U = 100 В. Диэлектрик — фарфор. Определить энергию поля и объемную плотность энергии поля конденсатора.

 

Решение.

Энергия конденсатора может быть определена по формуле

Формула(1)

где С — емкость конденсатора; U — разность потенциалов, до которой заряжены его пластины. Но

Формула(2)

где ε - диэлектрическая проницаемость среды, заполняющей, пространство между пластинами; ε0 — электрическая постоянная (ε0  =  8,85·10-12 Ф/м). Подставив выражение С по формуле (2) в формулу (1),получим

Формула(3)

Объёмная плотность энергии поля конденсатора — физическая величина, определяемая отношением энергии к объему, и поэтому может быть определена по формуле

Формула(4)

где V = Sd – объем пространства между пластинами конденсатора.

Запишем числовые значения величин, входящих в (4), в СИ:

S  =  50·10-4 м2 ;

ε  = 5 ;

d =  2·10-3 м.

Вычислим искомые величины по формулам (3) и (4):

Формула
Формула

Пример 29.

 

Динамомашина питает n = 100 параллельно включенных электроламп сопротивлением r1  = 240 Ом каждая. Сопротивление подводящих проводов r2 = 0,6 Ом. Определить электродвижущую силу динамомашины (ε), если ее внутреннее сопротивление r3  = 0,05 Ом и напряжение на зажимах U = 120 В.

 

Решение.

Электродвижущую силу динамомашины определим по закону Ома для полной цепи:

Формула    r = r1 / n +r2    (1,2)

где I  –  сила тока в цепи; r –  сопротивление внешней цепи. Силу тока в цепи найдем по закону Ома для участка цепи:

Формула(3)

Подставив в (1) выражение r из (2) и I из (3), получим

Формула

Вычислим искомую э.д.с. дииамомашины, подставив в (4) данные условия:

ε  =  (120/(240/100+0,6)) · (240/100+0,6+0,5)В = 140В

Пример 30.

 

Электродвигатель работает в сети с напряжением U = 120 В. Сила тока в обмотке I = 10 А. Активное сопротивление двигателя r =  3 Ом. Определить мощность и коэффициент полезного действия двигателя.

 

Решение.

Мощность двигателя выражается формулой

Формула(1)

Коэффициент полезного действия двигателя

Формула(2)

где N — полезная мощность. Но

Формула(3)

где N2  =  I2 r –  мощность, расходуемая на нагревание обмоток двигателя. Подставляя в (2) выражения для N1, N и N2, получим

Формула(4)

Выпишем числовые значения величин, входящих в (4), в СИ: U = 120 В; I = I0 А; r = 3 Ом. Вычисления:

Формула
Формула

Пример 31.

 

Термопара, сопротивление которой r1  = 6 Ом, позволяет определить минимальное изменение температуры Δtмин  =  0,006 ºC. Найти сопротивление гальванометра чувствительностью I0  = 1,5·10-8 А, подключенного к термопаре. Постоянная термопары k = 0,05 мВ/ºC.

 

Решение.

Электродвижущая сила ε, возникающая в термопаре при разности температур Формула ее спаев, вычисляется по формуле C

Формула(1)

Согласно закону Ома

Формула(2)

где I  –  сила тока в цепи термопары; r1  –  полное сопротивление цепи; r2  –  сопротивление гальванометра. Приравнивая правые части (1) и (2), получаем Формула,откуда

Формула(3)

Но Формула

где n  –  число делений, на которое отклонилась стрелка гальванометра при силе тока I. Подставив указанные выражения Δt и I в (3) и сократив полученное выражение на n, найдем

Формула(4)

Выпишем числовые значения величин, входящих (4), а СИ:Формула Формула Вычисления:

Формула(3)