КОНТРОЛЬНАЯ РАБОТА ЗАОЧНОГО ОБУЧЕНИЯ

Раздел 2

Электромагнитные явления (электродинамика). Оптика. Атомная и ядерная физика

1. Электромагнетизм

Основные законы и формулы, примеры решения задач

Наименование величины
или физический закон
Формула
Связь между индукцией и напряженностью магнитного поля (μ0= 4 π·10-7Гн/м - магнитная постоянная; μ - магнитная проницаемость среды)Формула
Индукция магнитного поля в центре кругового тока с числом витков NФормула
Индукция поля вблизи бесконечно длинного проводника с токомФормула
Индукция поля внутри соленоида с токомФормула
Закон АмпераФормула
Сила взаимодействия двух прямых токовФормула
Механический момент, действующий на рамку с током в магнитном полеФормула
Магнитный момент контура с токомФормула
Магнитный момент рамки с током (короткой катушки)Формула
Сила ЛоренцаФормула
Магнитный потокФормула
Потокосцепление в контуре с токомФормула
Закон Фарадея-МаксвеллаФормула
ЭДС переменного тока при вращении рамки в магнитном полеФормула
ЭДС самоиндукцииФормула
Индуктивность соленоида (тороида)Формула

 

 

 

 

Примеры решения задач

Пример 1.

 

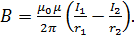
По двум длинным прямолинейным и параллельным проводам, расстояние между которыми d = 4 см, в противоположных направлениях текут токи I1 = 0,3 А, I2 = 0,5 А. Найти магнитную индукцию поля в точке А, которая находится на расстоянии r = 2 см от первого и провода на продолжении линии, соединяющей провода (рис.8).

 

Решение.
ФормулаРисунок 8

На рис. 8 провода расположены перпендикулярно плоскости чертежа. Маленькими кружочками изображены сечения проводив. Условимся, что ток I1, течет к нам, а ток I2 –  от нас. Общая индукция В в точке А равна векторной (геометрической) сумме индукции В1, и В1 полей, создаваемых каждым током в отдельности т. е,

Формула(1)

Для того чтобы найти направление вектора В1 и В2, проведем через точку А силовые линии магнитных полей, созданных токами I1 и I2.

Силовые линии магнитного поля прямого провода с током представляют собой концентрические окружности с центром на оси провода. Направление силовой линии совпадает с движением концов рукоятки правого буравчика, ввинчиваемого во направлению тока (правило буравчика) Поэтому силовая линия магнитного поля тока I1, проходящая через точку А, представляет собой окружность радиусом I1 A, а силовая линии магнитного поля тока I2, проходящая через эту же точку, — окружность радиусом I2 A (на рис. 8 показана только часто этой окружности). По правилу буравчика находим, что силовая линия магнитного ноля тока I1 направлена против часовой стрелки, а тока I2 –  по часовой стрелке.

Теперь легко найти направления векторов В1 и В2 в точке А: каждый из них направлен по касательной к соответствующей силовой линии в этой точке. Так как векторы В1 и В2 направлены вдоль одной прямой в противоположные стороны, то векторное равенство (1) можно заменить алгебраическим равенством

Формула(2)

Индукция магнитного поля тока I, текущего по прямому бесконечно длинному проводу, вычисляется по формуле

Формула(3)

где μ0  –  магнитная постоянная; μ  –  магнитная пропицаемость среды, в которой провод расположен; r  – расстояние от провода до точки, в которой определяется индукция. Подставив выражения В1 и В2 в равенство (2), получим

Формула

или

Формула(4)

Запишем в СИ числовые значения некоторых величии: r1 = 0,02 м, r2 = d+r1 = 0,06 м, μ0 = 4π ·10-7 Гн/м, μ = 1. Вычислим искомую индукцию:

Формула(3)

Пример 2.

 

Из проволоки диаметром d = 0,01 мм и сопротивлением r = 25 Ом намотан соленоид на картонном цилиндре (витки вплотную прилегают друг к другу). Определить индукцию магнитного поля на оси соленоида, если напряжение на концах обмотки U = 2 В.

 

Решение.

Индукция магнитного поля на оси соленоида вычисляется по формуле

Формула(1)

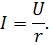
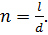
Здесь n = 1/d; d – диаметр проволоки; n – число витков на единицу длины соленоида; I –  сила тока, текущего по обмотке соленоида. Силу тока, текущего по обмотке, найдём по закону Ома для участка цепи:

Формула

Подставим значения n и I в равенство (1):

Формула(2)

Выпишем числовые значения величин входящих в (2), в СИ: μ0 = 4π ·10-7 Гн/м, μ = 1. d = 10-4 м. Вычисления:

Формула

Пример 3.

 

Прямой провод длиной l = 10 см, по которому течет ток I = 0,5 А, помещен в однородное магнитное поле перпендикулярно силовым линиям. Найти индукцию магнитного поля, если оно действует на прямой провод с силой F = 2,6 мН.

 

Решение.

Сила, с которой однородное магнитное поле действует на прямой провод с током, вычисляется по закону Ампера:

Формула(1)

где I  –  сила тока, текущего по проводнику; l –  длина проводника; В  –  индукция магнитного поля, в которое проводник помещён; а- угол между направлениями тока и линий индукции. Из формулы (1) найдем

Формула(2)

Выпишем числовые значения величин входящих в (2), в СИ: F = 2,6· 10-3 Н; I = 0,5 А; l = 0,1 м; α  = 90º; sinα  = 1. Вычисления:

Формула

Пример 4.

 

Протон, пройдя ускоряющую разность потенциалов U =  400 В, влетел в однородное магнитное поле с индукцией В = 0,2 Тл и начал двигаться по окружности. Вычислить радиус окружности.

 

Решение.

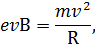
На заряженную частицу, влетевшую в магнитное поле, действует сила Fл, называемая силой Лоренца. Она вычисляется по формуле Формула, где e  –  заряд частицы; v  –  ее скорость; В  – индукция магнитного поля, в котором движется частица; α  –  угол между направлениями векторов скорости и индукции. Поскольку по условию задачи протон движется по замкнутой траектории (окружности), можно заключить, что составляющая вектора скорости в направлении вектора В равна нулю, т. е. α  = 90º, sinα = 1.

Направление силы Лоренца подчиняется, как известно, правилу левой руки. Угол между направлениями v и Fл всегда составляет 90º. Следовательно, сила Лоренца является центростремительной силой, т.е. Формула или

Формула

где m  –  масса протона; R  –  радиус окружности, по которой движется протон. Тогда

Формула(1)

Протон получил скорость, пройдя, ускоряющую разность потенциалов По закону сохранения энергии работа, совершенная полем при перемещении протона, равна кинетической энергии, приобретенной протоном, т, е.

Формула(2)

Работа сил электрического поля при перемещении протона определяется по формуле

Формула(3)

Кинетическая энергия протона

Формула(4)

Подставив выражение А по (З) и выражение Т по (4) в (2), получим Формула, откуда

Формула(5)

Подставляя выражение для v в (1), находим

Формула(6)

Проверим расчетную формулу (6):

Формула

Выпишем в СИ числовые значения недостающих величин Формула; Формула. Вычислим искомый радиус

Формула

Пример 5.

 

Ток, текущий в рамке, содержащей N витков, создаст магнитное поле. В центре рамки индукция поля B = 0,126 Тл. магнитный момент рамки, если ее радиус R = 10 см.

 

Решение.

Магнитный момент рамки с током

Формула(1)

где I - сила тока в витке; площадь, охватываемая витком Формула N - число витков рамке. Индукция магнитного поля в центре кругового тока (многовиткового) , Формулаоткуда Формула Подставляя в (1) выражения для I и S, получаем

Формула(2)

Выпишем числовые значения величин, входящих в (2), в СИ: Формула Формула Формула Вычислим искомый магнитный момент:

Формула

Пример 6.

 

Плоская рамка площадью содержащая S = 100 см2, содержащая N =  20 витков тонкого провода, вращается в однородном магнитном поле с индукцией В  = 100 мТл. Амплитуда э.д.с. индукции εмакс  = 10 В. Определить частоту вращения рамки.

 

Решение.

Используя понятие угловой скорости вращении (ω  = 2π/T  = 2πn, где T  – период вращения; n  – частота вращения), определим частоту вращения рамки:

Формула(1)

Угловую скорость вращения найдем из соотношения

Формула(2)

Где ε –  мгновенное значение э.д.с. индукции. Амплитудой ε является значение εмакс , соответствующее значению sinωt = 1. Из соотношения (2) имеем

Формула(3)

Подставив выражение ω по (3) в (1),получаем

Формула(4)

Выразим значения ряда величин, входящих в формулу (4), в СИ: Формула Формула Выполним вычисления:

Формула

Пример 7.

 

На немагнитный каркас длиной l = 50 см и площадью сечения S = 3см2 намотан в одни слой провод диаметром d = 0,4 мм так, что витки плотно прилегают друг к другу. Найти: 1) индуктивность получившегося соленоида и 2) магнитный поток, пронизывающий поперечное сечение соленоида при токе силой I = 1 А.

 

Решение.

Индуктивность соленоида вычисляется по формуле

Формула(1)

где n  –  число витков, приходящихся на единицу длины соленоида; V –  объем соленоида. Число витков n получим, разделив единицу длины на диаметр провода:

Формула(2)

Объем соленоида V = Sl, где S –  площадь поперечного сечения соленоида; l – длина соленоида. Подставим выражения для n и V в равенство (1):

Формула(3)

Выпишем числовые значения величин, входящих в (3), в СИ:

Формула

Формула

Формула

Формула

Формула

Вычисления:

Формула

При наличии тока в соленоиде любое его поперечное сечение пронизывает магнитный поток

Формула(4)

где В  –  магнитная индукция в соленонде. Магнитная индукция соленоида определяется по формуле

B = μ0μIn. (5)

Подставив выражения n и В по (2) и (5) в (4), получим расчетную формулу

Формула

Выполним вычисления, подставив в расчетную формулу значения величин I, S и d в СИ:

Формула

Пример 8.

 

Колебательный контур состоит из плоского воздушного конденсатора с двумя пластинами площадью по S = 100 см ² каждая и катушки с индуктивностью L  = 10-5 Гн. Период колебаний в контуре Т  = 10-7 с. Определить расстояние между пластинами конденсатора.

 

Решение.

Из формулы емкости плоского конденсатора

Формула

0  –  электрическая постоянная; ε  –  диэлектрическая проницаемость среды мёжду пластинами конденсатора; S  –  площадь пластины конденсатора; d  –  расстояние между пластинами) может быть найдено искомое расстояние

Формула(1)

Из формулы Томсона, определяющей период колебаний Т в колебательном контуре, Формула найдем емкость Формула), где L  –  индуктивность катушки. Подставив это выражение С в (1), получим

Формула(2)

Выразим некоторые величины, входящие в расчетную формулу (4), в СИ:

Формула

Формула

Формула

Вычислим искомое расстояние:

Формула