РАЗДЕЛ V. ВОЛНОВАЯ ОПТИКА
Основные законы и формулы
Примеры решения задач
Задачи для самостоятельного решения
Качественные задачи
Контрольные вопросы
Задачи этого раздела затрагивают в основном волновую природу света. В начале решения этих задач полезно сделать рисунок хода лучей, выделив падающие и отраженные лучи. Желательно будет так же вспомнить некоторые тригонометрические соотношения.
Основные законы и формулы
| Оптическая разность хода | Δ= S2n2-S1n1 |
| Уравнение интерференционного максимума | Δ= ± m λ (m = 0, 1, 2…) |
| Уравнение интерференционного минимума |  |
| Ширина интерференционных полос в опыте Юнга |  |
| Оптическая разность хода в тонких пленках | |
| в проходящем и |  |
| отраженном свете |  |
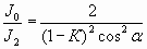
| Радиусы светлых и темных колец Ньютона в проходящем свете (или темных и светлых – в отраженном) | (m = 1, 2,…)
(m = 1, 2,…) |
| Радиусы зон Френеля для сферического |  |
| и плоского волнового фронта | (m=1, 2,…) |
| Направление дифракционных максимумов от одной щели | a sin φm = ± (2m+1) λ/2 |
| и минимумов от одной цели | a sin φm = ±mλ (m = 1, 2,…) |
| Условие главных максимумов дифракционной решетки | d sin φm = ±mλ (m = 0, 1, 2,…) |
| Разрешающая способность дифракционной решетки |  |
| Формула Вульфа – Брэггов | 2dsin θm = mλ (m = 1, 2,…) |
| Степень поляризации | P = (Jmax - Jmin) ¤ ( Jmax + Jmin) |
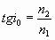
| Закон Брюстера |  |
| Закон Малюса | J=J0 cos2 α |
| Угол поворота плоскости поляризации света в кристаллах | φ = αl |
| и растворах | φ = [α]cl |
| Фазовая скорость света | v = c/n |
Примеры решения задач
Пример 11. В просветленной оптике для устранения отражения света от поверхности линзы на нее наносится тонкая пленка вещества с показателем преломления 1,26 меньшим, чем у стекла. В какой наименьшей толщине пленки отражение света с длинной волны 0,55 мкм не будет наблюдаться, если угол падения лучей 45°?
Дано: n = 1,26; λ
= 0,55 мкм; i = 45°
Найти: dmin
Решение: Оптическая разность хода лучей, отраженных от нижней и верхней поверхностей пленки
где d - толщина пленки, n – показатель преломления пленки, i – угол падения лучей. В выражении (1), учтено, что при отражении от среды с большим показателем преломления происходит потеря полуволны. Это наблюдается как на верхней, так и на нижней поверхности пленки.
Условие интерференционного минимума:
где λ
- длина волны света. Подставляем (1) в (2) и учитывая, что выражение (1) положительно, получаем:
, откуда 
Наименьшая толщина пленки будет при m = 1

Ответ: dmin = 0,13мкм
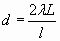
Пример 12. На дифракционную решетку падает нормально монохромный свет с длинной волны 0,6мкм. На экране, расположенном на расстоянии 0,55м, наблюдается дифракционная картина, на которой расстояние между дифракционными максимумами первого порядка равно 12см. Определить постоянную дифракционной решетки и общее число главных максимумов, получаемых с помощью данной решетки.
Дано: λ
= 0,6·
10-6м; L = 0,55 м; l = 0,12 м; m = ±1
Найти: d , N
Решение: Запишем условие главных максимумов дифракционной решетки:
где в d – постоянная решетки, φ
m – угол между нормалью к решетке и направлением на m дифракционный максимум, m – порядок главного дифракционного максимума, λ
- длина волны, падающего на решетку света. По условию задачи m =±1. Учитывая, что L можно записать:
Подставляя (2) в (1) , получим :
Подставляя в (3) числовые значение величин, находим:
= 5,5·
10-6м = 0,55мкм
Для определения общего числа главных максимумов, даваемых дифракционной решеткой, учтем, что максимальный угол отклонения лучей от нормали к решетке не может превышать 900, т.е. в формуле (1) sinφ
m = 1. С учетом этого условия из (1) получим, что
mmax =±d/λ
или mmax = ±5,5·
10-6 м / 0,55·
10-6м = ±10
Тогда общее число максимумов N=2mmax+1, т.е. влево и вправо от центрального (нулевого) максимума будет наблюдаться по mmax максимумов
N=2·
10+1=21
Ответ: d = 5,5·
10-6м; N = 21.
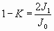
Пример 13. Интенсивность естественного света, прошедшего через поляризатор, уменьшилась в 2,2 раза. Определить, во сколько раз она уменьшится, если поставить второй такой же поляризатор на пути луча, вышедшего из первого. Угол между главными плоскостями поляризаторов равен 450.
Дано: J0/J1 = 2,2 ; α
=450
Найти: J0/J2
Решение: Естественный свет, проходя через поляризатор, на выходе из него становится плоскополяризованным. Интенсивность такого луча с учетом потерь на отражение и поглощение поляризатором равна:
где J0 – интенсивность естественного (белого) света; К – коэффициент поглощения.
После прохождения света через второй поляризатор, интенсивность уменьшается как по закону Малюса, так и за счет отражения и поглощения, т.е.
где α
- угол между плоскостями поляризации света в первого и второго поляризатора. Подставляя (1) в (2), находим:
Из (1) имеем
Подставляя (4) в (3), получим:

Ответ: 
Задачи для самостоятельного решения
201. Расстояние между двумя когерентными источниками (опыт Юнга) 0,55мм. Источники испускают свет длиной волны 550нм. Каково расстояние от щелей до экрана, если расстояние между соседними темными полосами на нем равно 1мм?
202. Найти длину волны света, освещающего установку в опыте Юнга, если при помещении на пути одного из интерферирующих лучей стеклянной пластинки (n = 1,52) толщиной 3мкм картина интерференции на экране смещается на три светлые полосы.
203. Найти расстояние между третьим и пятым минимумами на экране, если расстояние от двух когерентных источников (λ= 0,6 мкм) до экрана равно 1,5м. Расстояние между источниками 0,2мм.
204. Два когерентных источника, расстояние между которыми 0,2мм, расположены от экрана на 1,5 м. Найти длину световой волны, если третий минимум интерференции расположен на экране на расстоянии 12,6мм от центра картины.
205. Найти наименьший угол падения монохроматического света (λ= 0,5мкм) на мыльную пленку (n=1,3) толщиной 0,1мкм, находящуюся в воздухе, при котором пленка в проходящем свете кажется темной.
206. На пленку из глицерина толщиной 0,1мкм падает белый свет. Каким будет казаться цвет пленки в отраженном свете, если угол падения лучей 450 (n=1,47)?
207. Радиус кривизны плосковыпуклой линзы 12,1м. Диаметр второго светлого кольца Ньютона в отраженном свете равен 6,6мм. Найти длину волны падающего света, если он падает нормально.
208. Какую наименьшую толщину должна иметь мыльная пленка, чтобы отраженные лучи имели красную окраску (λ=0,63мкм)? Белый луч падает на пленку под углом 300 (n=1,33).
209. Для получения колец Ньютона используют плосковыпуклую линзу. Освещая ее монохроматическим светом с длинной волны 0,6мкм, установили, что расстояние между пятым и шестым кольцами в отраженном свете равно 0,56мм. Определить радиус кривизны линзы.
210. Определить радиус четвертого темного кольца Ньютона в отраженном свете, если между линзой с радиусом кривизны 5м и плоской поверхностью, к которой она прижата, находится вода. Свет с длинной волны 0,589мкм падает нормально (n=1,3).
211. Экран, на котором наблюдается дифракционная картина, расположен на расстоянии 1м от точечного источника монохроматического света (λ= 0,5мкм). По середине между экраном и источником помещена диафрагма с круглым отверстием. При каком наименьшем диаметре отверстия центр дифракционной картины будет темным?
212. Свет от монохроматического источника (λ=0,6мкм) падает нормально на диафрагму с круглым отверстием с радиусом 0,6мм. Темным или светлым будет центр дифракционной картины на экране, находящемся на расстоянии 0,3м от диафрагмы?
213. На узкую щель шириной 0,1мм падает нормально плоская монохроматическая волна λ= 0,585мкм. Найти расстояние между первыми дифракционными минимумами на экране, удаленном от щели на 0,6м.
214. Дифракционная решетка шириной 12мм содержит 4800 штрихов. Определить число главных максимумов, наблюдаемых в спектре дифракционной решетки для длины волны 0,55мкм.
215. На дифракционную решетку с периодом 4,8мкм падает нормально естественный свет. Какие спектральные линии, соответствующие длинам волн в видимой области спектра, будут совпадать в направлении φ=300?
216. Период дифракционной решетки 0,005мм. Определить число наблюдаемых главных максимумов в спектре дифракционной решетки для длины волны монохроматического света 0,445мкм.
217. Постоянная дифракционной решетки равна 2,5мкм. Определить наибольший порядок спектра, общее число главных максимумов в дифракционной картине и угол дифракции в спектре второго порядка при нормальном падении монохроматического света с длинной волны 0,62мкм.
218. На грань кристалла каменной соли падает пучок рентгеновских лучей длинной 0,147нм. Какое расстояние между атомными плоскостями в кристалле, если дифракционный максимум первого порядка наблюдается при падении лучей под углом 150 12’ к поверхности кристалла?
219. Расстояние между атомными плоскостями кристалла кальция равно 0,3нм. Определить, при какой длине волны рентгеновского излучения второй дифракционной максимум будет наблюдаться при отражении лучей под углом 300 к поверхности кристалла.
220. Какую разность длин волн может разрешить дифракционная решетка с периодом 2,5мкм шириной 1,5см в спектре третьего порядка для зеленых лучей (λ= 0,5 мкм)?
221. Естественный свет падает на кристалл алмаза под углом полной поляризации. Найти угол преломления света (n=2,42 ).
222. Раствор сахара с концентрацией 0,25 г/см3 толщиной 20см поворачивает плоскость поляризации монохроматического света на угол 300 20¢. Другой раствор толщиной 15см поворачивает плоскость поляризации этого же света на угол 200. Определить концентрацию сахара во втором растворе.
223. Интенсивность естественного света, прошедшего через поляроид, уменьшилась в 4,5 раза. Во сколько раз она уменьшится, если второй такой же поляроид поставить за первым так, чтобы угол между плоскостями поляризации их был 60°? Коэффициент поглощения в обоих поляроидах одинаковый.
224. Найти угол между плоскостями поляризации двух поляроидов, если интенсивность света, прошедшего оба поляроида, уменьшилась в 6,5 раз. Коэффициент поглощения света в обоих поляроидах 0,3.
225. Под каким углом к горизонту должно находиться Солнце, чтобы свет, отраженный от поверхности воды был максимально поляризован (n = 1,33)?
226. Угол между плоскостями поляризации двух поляроидов 30°. Как изменится интенсивность прошедшего через них света, если этот угол увеличить вдвое?
227. Главные плоскости двух призм Николя образуют между собой угол 60°.На сколько следует изменить угол между главными плоскостями, чтобы интенсивность прошедшего света увеличилась вдвое?
228. Угол между плоскостями поляризации двух поляроидов 70°. Как изменится интенсивность прошедшего через них света, если этот угол уменьшить в пять раз?
229. Естественный свет падает на поверхность диэлектрика под углом полной поляризации, коэффициент отражения света равен 0,095. Найти степень поляризации преломленного луча.
230. Естественный свет падает на поверхность диэлектрика под углом полной поляризации. Коэффициент пропускания света равен 0,915. Найти степень поляризации преломленного луча.
Качественные задачи
231. Почему Луна должна иметь шероховатую, а не зеркальную поверхность?
232. Чему равно фокусное расстояние плоского зеркала?
233. Пучок параллельных лучей света, входя в воду под углом, расширяется. Почему?
234. Почему в жаркую погоду на шоссе на некотором расстоянии иногда возникает мираж в виде изображения перевернутых машин?
235. Чему равен угол преломления при нормальном падении света на границу раздела двух сред?
236. Нарисуйте ход лучей и объясните, почему стержень, частично погруженный в воду, кажется изломанным в том месте, где он входит в воду?
237. Докажите, что действительное изображение, полученное с помощью тонкой линзы, всегда перевернутое, если объект реальный?
238. На каком основании считается, что частота света не изменяется при переходе из одной среды в другую?
239. Почему, по мере удаления от центра, кольца Ньютона располагаются более тесно?
240. На сколько различаются фокусные расстояния рассеивающей и собирающей линз для фиолетового и желтого света?
241. Что будет наблюдаться на экране при дифракции на одной щели в параллельных лучах, если ширина щели равна длине волны света?
242. Как изменяется разрешающая способность дифракционной решетки при изменении угла наклона падающих на нее лучей?
243. С какого соотношения между радиусом отверстия R и расстоянием от экрана до точки наблюдения r0, свет в точке наблюдения при увеличении r0 не будет сменяться темнотой?
244. Какова интенсивность отраженного луча, если на изотропный диэлектрик падает под углом Брюстера луч плоско поляризованного света с электрическим вектором: а) перпендикулярным плоскости падения; б) лежащим в плоскости падения?
245. Как отличить естественный свет от света, поляризованного по кругу?
246. Какую поляризацию имеет свет, падающий на анализатор, если при любом положении анализатора поле зрения оказывается просветленным?
247. Какими способами можно получить из оптически изотропного вещества анизотропное?
248. Несимметричная тонкая линза дает изображение точечного предмета на своей оси. Как изменится изображение, если преломляющие поверхности линзы поменять местами?
249. Почему, по мере испарения мыльной пленки, расстояние между интерференционными полосами увеличивается?
250. При падении луча на плоскую границу раздела двух сред он частично отражается и преломляется. Как связан с оптическими свойствами среды угол падения луча, если отраженный луч перпендикулярен преломленному?
Контрольные вопросы
81. Что такое свет?
82. В чем заключается физический смысл принципа Гюйгенса?
83. Сформулируйте законы отражения и преломления света?
84. Как получить полное внутреннее отражение?
85. Какой физический смысл имеет относительный показатель преломления двух сред?
86. В чем суть явления "просветление оптики"?
87. Какие источники называют когерентными?
88. Что такое время и длина когерентности?
89. Сформулируйте условия максимума и минимума интерференции? При каких условиях можно наблюдать интерференцию света?
90. Что такое дифракция света?
91. Какими параметрами характеризуется дифракционная решетка в качестве спектрального прибора?
92. Как определить, сколько максимумов дает дифракционная решетка?
93. Что называют поляризацией света?
94. Какие способы получения поляризованного света вы знаете?
95. Какие типы поляризации существуют?
96. Сформулируйте закон Брюстера.
97. Дайте определение закона Малюса.
98. Как получить двойное лучепреломление?
99. Назовите способы получения искусственной анизотропии?
100. Почему происходит вращение плоскости поляризации?
|