РАЗДЕЛ VI. КВАНТОВАЯ ПРИРОДА ИЗЛУЧЕНИЯ
Основные законы и формулы
Примеры решения задач
Задачи для самостоятельного решения
Качественные задачи
Контрольные вопросы
Задачи данного раздела позволяют глубже понять другую сторону (квантовую природу) света. В таких явлениях, как например при фотоэффекте и эффекте Комптона, свет ведет себя как поток частиц (квантов), энергия которых выражается формулой . Перед решением задач на эффект Комптона необходимо сделать чертеж, на котором показать импульсы падающего и рассеянного фотона и импульс электрона отдачи.
Основные законы и формулы
| Давление света при нормальном падении на поверхность |  |
| Энергия фотона |  |
| Масса и импульс фотона |  |
| Уравнение Эйнштейна для внешнего фотоэффекта | hν = А + Ек |
| Красная граница фотоэффекта |  |
| Изменение длинны волны при эффекте Комптона |  |
| Комптоновская длинна волны |  |
Примеры решения задач
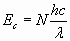
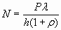
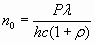
Пример 14. На зеркальную поверхность нормально падает монохромный свет с длинной волны 0,55мкм, производя давление 9мкПа. Определить концентрацию фотонов вблизи поверхности и число фотонов, падающих на площадь 1 м2 за 1 с.
Дано: λ
=0,55мкм; Р = 9·
10-6 Па.
Найти: n0, N
Решение: Давление света при нормальном падении на поверхность определяется по формуле:
где Ес – энергетическая освещенность поверхности, т.е. энергия всех фотонов, падающих на единицу поверхности в единицу времени, c - скорость света в вакууме, w – объемная плотность энергии излучения, ρ
- коэффициент отражения поверхности, который в данном случае равен 1. Объемная плотность энергии равна произведению энергии одного фотона на число фотонов в единице объема
где h – постоянная Планка. Подставляя (2) в (1), получим
Проводим вычисления

Энергетическая освещенность поверхности Ес есть по определению энергия всех фотонов, которые падают на единицу поверхности в единицу времени. Следовательно
Выразив Ес из (1) и подставив в (5), получим
Сравнивая (6) и (4), получаем N = n0c
Подставляя числовые значения в полученную формулу, имеем
N = 1,25·
1013м-3·
3·
108м/с = 3,75·
1021 м-2 ·
с-1
Ответ: n0 = 1,25·
1013м-3; N = 3,75·
1021 м-2с-1
Пример 15. Определить максимальную скорость фотоэлектронов, вырываемых с поверхности серебра: 1) ультрафиолетовыми лучами с длинной волны 0,155мкм; 2) γ
- лучами с длинной волны 1 пм.
Дано: λ
1 = 0,155мкм = 0,155·
10-6 м; λ
2=1пм= 10-12м
Найти: vmax
Решение: Согласно уравнению Эйнштейна для внешнего фотоэффекта
где h – постоянная Планка, c – скорость света в вакууме, λ
- длинна волны, А – работа выхода электрона из металла, Ек – максимальная кинетическая энергия электрона, может быть выражена по классической формуле
или по релятивисткой формуле
в зависимости от того, какая скорость сообщается электрону.
Скорость же электрона зависит от энергии фотона
вызывающего фотоэффект; если энергия Е фотона много меньше энергии покоя Е0 электрона, то может быть применена формула (2) , если же Е сравнима по величине с Е0 , то вычисление по формуле (2) приводит к ошибке, во избежание которой необходимо кинетическую энергию фотоэлектрона выражать по формуле (3).
- Вычислим энергию фотона ультрафиолетовых лучей по формуле (4):
.
Полученная энергия фотона (8эВ) много меньше энергии покоя электрона Е0=0,511МэВ. Следовательно, для данного случая кинетическая энергия фотоэлектрона в формуле (1) может быть выражена по классической формуле (2) ,
Выпишем числовые значения величин h и m0 из справочных данных и подставим их в формулу (5), предварительно выразив в единицах "СИ":
А = 4,7эВ = 4,7·
1,6·
10-19 Дж = 0,75·
10-18 Дж
m0=9.11·
10-31кг

2.Вычислим энергию фотона γ
- лучей:

Работа выхода электрона (А=4,7эВ) так мала по сравнению с энергией фотона (Е2=1,24МэВ), что ею можно пренебречь и принять
Ек = Е2 = 1,24МэВ
Так как в данном случае кинетическая энергия электрона больше энергии покоя (Е0 = 0,511МэВ), то для вычисления скорости электрона следует взять релятивистскую формулу кинетической энергии

Выполнив преобразования, найдем
откуда 
Поскольку Е0 и Е2 входят в виде отношения, то их не обязательно выражать в единицах "СИ".
Произведем вычисления :
Ответ: v1 = 1,08·
106 м/с; v2 = 2,85·
108 м/с
Пример 16. Гамма – фотон с длинной волны 1,2·
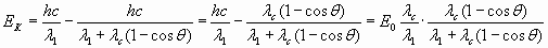
10-12м в результате эффекта Комптона отклонился от первоначального направления на угол 600. Определить кинетическую энергию и импульс электрона отдачи. До столкновения электрон покоился.
Дано: λ
=1,2·10-12 м; θ=600
Найти: Ек, p
Решение: Изменение длинны волны при комптоновском рассеянии на свободном электроне равно
где λ
1 и λ
2 - длины волн падающего и рассеянного фотона, θ - угол рассеяния фотона, - комптоновская длина волны, λ
c=2,43·
10-12м, m0 и Е0 – соответственно масса и энергия покоя электрона, h – постоянная Планка, с – скорость света в вакууме. Из выражения (1)найдем
Выразим энергию падающего и рассеянного фотона через его длину волны
Кинетическая энергия электрона отдачи по закону сохранения энергии равна
Подставляя в последнюю формулу выражение Е1 и Е2 из (3), найдем:
Проводя вычисления, получим:
Полученное значение кинетической энергии электрона сравнимо с энергией покой Е0 = 0,511МэВ. Поэтому выразим импульс электрона по релятивистской формуле:
Проводя вычисления в (5), получим:

Ответ: Ек = 0,492 МэВ; Р = 4,6·
10-22 кг·
м/с
Задачи для самостоятельного решения
251. Определить давление солнечных лучей, нормально падающих на зеркальную поверхность. Интенсивность солнечного излучения принять равной 1,37кВт/м2 .
252. Свет с длиной волны 0,5 мкм нормально падает на зеркальную поверхность и производит на нее давлении 4мкПа. Определить число фотонов, ежесекундно падающих на 1см2 этой поверхности.
253. Давление света, нормально падающего на поверхность, равно 2мкПа. Определить концентрацию фотонов вблизи поверхности, если длина волны света равна 0,45мкм, а коэффициент отражения 0,5.
254. Пучок параллельных лучей монохроматического света с длинной волны 0,663мкм падает нормально на плоскую зеркальную поверхность. Определить силу давления, испытываемую этой поверхностью, если ее площадь равна 2м2 , а энергетическая освещенность поверхности 0,6 Вт/м2.
255. По условию задачи 254 определить число фотонов, ежесекундно падающих на данную поверхность .
256. Определить давление на черную поверхность, создаваемое светом с длинной волны 0,4мкм, если ежесекундно на 1см2 поверхности нормально падает 6·1016 фотонов.
257. Световое давление, испытываемое зеркальной поверхностью, площадью 1см2, равно 10-6 Па. Найти длину волны монохроматического света, если на поверхность ежесекундно падает 6·1016 фотонов.
258. На зачерненную поверхность нормально падает монохроматический свет с длинной волны 0,45мкм. Найти число фотонов, падающих на площадку 1см 2 в 1с, если давление, производимое этим светом, равно 10-5Па.
259. Определить силу светового давления на зеркальную поверхность, площадью 100см2 , если энергетическая освещенность поверхности равна 2,5кВт/м2.
260. Давление нормально падающего на зеркальную поверхность света равно 10-8Па. Определить мощность, расходуемую на излучение, если расстояние от источника света до поверхности равно 2м.
261. Катод вакуумного фотоэлемента освещается светом с длинной волны 0,380мкм. Фототок прекращается при задерживающей разности потенциалов равной 1,4эВ. Найти работу выхода электронов из катода.
262. Красная граница фотоэффекта для никеля равна 0,257мкм. Найти длину волны света, падающего на никелевый фотокатод, если фототок прекращается при задерживающей разности потенциалов, равной 1,5 В.
263. Определить максимальную скорость электрона, вырванного с поверхности серебренной пластинки гамма – квантом с энергией 1,53МэВ.
264. На цинковую пластинку падает пучок ультрафиолетовых лучей с длинной волны 0,2мкм. Определить максимальную кинетическую энергию и максимальную скорость фотоэлектронов (A = 4,0эВ).
265.На пластину падает монохроматический свет с длинной волны 0,42мкм. Фототок прекращается при задерживающей разности потенциалов, равной 0,95 В. Определить работу выхода электронов с поверхности пластины.
266. Какую часть энергии фотона составляет энергия, пошедшая на работу выхода электронов из фотокатода, если красная граница для материала фотокатода равна 0,540 мкм, кинетическая энергия фотоэлектрона равна 0,5эВ.
267. Кинетическая энергия электронов, выбитых из цезиевого фотокатода, равна 3эВ. Определить при какой максимальной длине волны света выбивается этот электрон. Работа выхода для цезия 1,8эВ.
268. Облучение литиевого фотокатода производится фиолетовыми лучами, длина которых равна 0,4мкм. Определить скорость фотоэлектронов, если красная граница фотоэффекта для лития равна 0,52мкм.
269. Фотон с длинной волны 0,2мкм вырывает с поверхности фотокатода электрон, кинетическая энергия которого равна 2эВ. Определить работу выхода и красную границу фотоэффекта.
270. Для фотокатода, выполненного из вольфрама работа выхода равна 4,5эВ. Определить, при какой максимальной длине волны света происходит фотоэффект.
271. Фотон с энергией 1,3МэВ в результате эффекта Комптона был рассеян на свободном электроне. Определить длину волны рассеянного фотона, если угол рассеивания равен 600.
272. Фотон с импульсом 0,544·10-21 кг·м/с был рассеян на свободном электроне на угол 300 в результате явления Комптона. Определить импульс рассеянного фотона.
273. Фотон с энергией 0,51МэВ в результате Комптоновского рассеивания отклонился на угол 1800. Определить энергию электрона отдачи.
274. По условию задачи 273 определить долю энергии, оставшуюся у рассеянного фотона и выразить ее в процентах.
275. В результате Комптоновского эффекта электрон приобрел энергию 0,5МэВ. Определить энергию падающего фотона, если длина волны рассеянного фотона равна 2,5·10-12м.
276. В результате Комптоновского рассеивания на свободном покоящемся электроне длина волны гамма – фотона увеличилась в 2 раза. Найти кинетическую энергию и импульс электрона отдачи, если угол рассеяния равен 600.
277. Гамма – фотон с энергией 1,02МэВ в результате Комптоновского рассеяния на свободном электроне отклонился от первоначального направления на 900. Определить кинетическую энергию и импульс электрона отдачи. До столкновения электрон покоился.
278. Первоначально покоившийся свободный электрон приобрел кинетическую энергию 0,06МэВ в результате Комптоновского рассеяния на нем гамма – фотона с энергией 0,51МэВ. Чему равен угол рассеяния фотона?
279. По условию задачи 278 найти длину волны фотона до и после рассеяния.
280. Угол рассеяния фотона с энергией 1,2МэВ на свободном электроне 600. Найти длину волны рассеянного фотона и энергию электрона отдачи.
Качественные задачи
281. Как изменится вольт - амперная характеристика фотоэлемента, если не изменяя длины волны падающего света, увеличить световой поток?
282. Почему фотоэлектрические измерения весьма чувствительны к природе и состоянию поверхности фотокатода?
283. Как при заданной частоте света изменится фототок насыщения с уменьшением освещенности катода?
284. Как из опытов по фотоэффекту определяется постоянная Планка?
285. При замене одного металла другим длина волны, соответствующая красной границе, уменьшается. Что можно сказать о работе выхода этих металлов?
286. Почему существование красной границы в явлении фотоэффекта говорит в пользу корпускулярной теории света и против волновой?
287. Имеются электрически нейтральные пластинки из металла и полупроводника. При освещении металла возникает внешний фотоэффект, а при освещении полупроводника - внутренний. Останутся ли пластинки электрически нейтральными? Как это можно объяснить?
288. Может ли медная пластинка служить фотосопротивлением?
289. Объясните с точки зрения квантовой природы излучения безынерционность фотоэффекта.
290. Выразите энергию и импульс фотона через частоту и длину волны.
291. Почему отличается давление света на черную поверхность от давления на зеркальную?
292. Чему равно отношение давления света на зеркальную и зачерненную поверхности?
293. Докажите, что световое давление, оказываемое на поверхность тела потоком монохроматического излучения, падающего перпендикулярно поверхности, в случае идеального зеркала равно 2w, а в случае полностью поглощающей поверхности равно w, где w - объемная плотность энергии излучения.
294. Как средство перемещения космического корабля в пределах Солнечной системы было предложено использовать световое давление, для чего потребовался бы большой парус из алюминиевой фольги. Оцените размеры такого паруса, чтобы сила давления света скомпенсировала силу притяжения к Солнцу.
295. Эффект Комптона наблюдается при рассеянии фотонов на слабосвязанных электронах. Какие электроны в веществе можно считать свободными?
296. Почему эффект Комптона не наблюдается при рассеянии видимого света?
297. Чему равно отношение импульса фотона к его частоте?
298. Опираясь на механизм комптоновского рассеяния, объясните почему длина волны рассеянного излучения больше, чем длина волны падающего излучения?
299. Следуя механизму комптоновского рассеяния, объясните присутствие в составе рассеянного излучения "несмещенной линии"?
300. Можно ли остановить световой луч? Почему?
Контрольные вопросы
101. Каковы основные положения квантовой теории света?
102. Почему световые кванты (фотоны) оказывают давление на поверхность тел?
103. Чем различаются внешний и внутренний фотоэффекты?
104. Что означает красная граница внешнего фотоэффекта?
105. Какое условие необходимо для возникновения внешнего фотоэффекта?
106. Запишите уравнение Эйнштейна для внешнего фотоэффекта.
107. Как с помощью уравнения Эйнштейна объяснить I и II законы фотоэффекта?
108. От чего зависит скорость вылетающих электронов при внешнем фотоэффекте?
109. Объясните законы фотоэффекта с помощью световых квантов.
110. Приведите примеры применения фотоэффекта.
111. Зависит ли фототок от поляризации падающего света?
112. Почему выход фотоэлектронов при возникновении фотоэффекта не зависит от освещенности металла?
113. Почему в объяснении фотоэффекта существование пороговой частоты говорит в пользу фотонной теории, а не волновой?
114. В чем заключается эффект Комптона?
115. Поясните значение эффекта Комптона.
116. В чем отличие характера взаимодействия фотона и электрона при фотоэффекте и эффекте Комптона?
117. В чем состоит корпускулярно-волновой дуализм свойств света?
118. Какие экспериментальные подтверждения квантовых свойств света вы знаете?
119. Можно ли с помощью одного и того же измерительного прибора регистрировать и волновые, и квантовые свойства света?
200. Есть ли противоречия между волновой и квантовой теориями света?
|